Konfidensgrad för χ² fördelningar


Om konfidensgraden är 95% så är α = 0.05 och därmed borde vi kolla på χ²0.05 ? Men varför kollar man på χ²0.95? Det är väl samma som för normalfördelning? Finns det något sätt som gör att jag inte blandar 1 - α med α, hur vet jag vilket som är vilken? (Det bör väl vara i detta fall att vi har 95% sannolikhet att vårt s.v. X hamnar under 0.05 kvartilen dvs under χ²0.05 och då ska det väl ställas upp så, eller?)
tabellen är: 
Det är väl 0,05 du har tittat på? Var kommer 0,95 ifrån? Sen tror jag intervallet bör börja på 0, negativ standardavvikelse vet jag inte hur jag skulle tolka.
Eller jaha, du menar varför det finns med i tabellen? Ifall man vill ha ett minsta värde också, alltså tvåsidigt intervall. Om du tittar på bilden så är den ju inte likadan på båda sidor och har inte 0 i mitten heller, så inte lika smidig som en normalfördelning. Man kan få fram andra sidan genom att ta 1/ eller något liknande, men smidigare att få det serverat.
Micimacko skrev:Det är väl 0,05 du har tittat på? Var kommer 0,95 ifrån? Sen tror jag intervallet bör börja på 0, negativ standardavvikelse vet jag inte hur jag skulle tolka.
Ah just det, tack, standardavvikelse ska vara större eller lika med 0. Tydligen så räknar facit med χ²0.95 ? Och i lösningsförslaget så använder de χ²0.05 men själva värdet ser ut att vara χ²0.95 så det verkar vara 0.95? Men förstår inte varför det är 0.95 när konfidensgraden är 0.95 dvs. 1 - α = 0.95 => α = 0.05 => χ²0.05
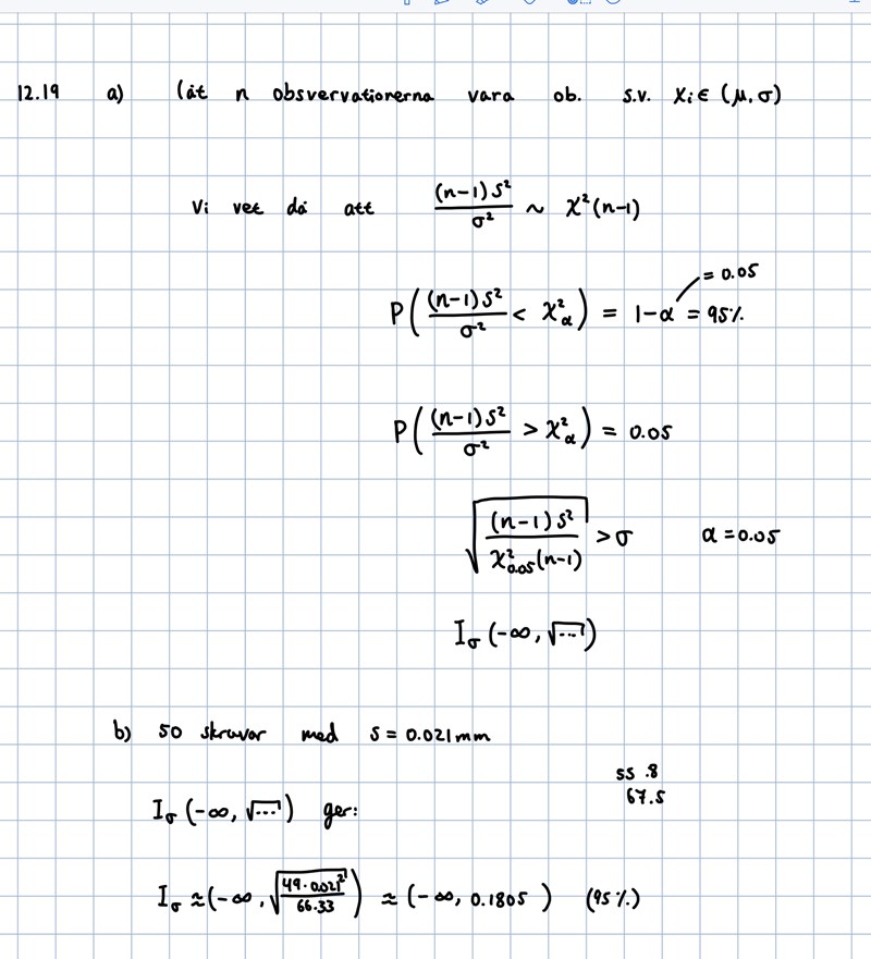
Facit:

Lösningsförslaget:
Micimacko skrev:Eller jaha, du menar varför det finns med i tabellen? Ifall man vill ha ett minsta värde också, alltså tvåsidigt intervall. Om du tittar på bilden så är den ju inte likadan på båda sidor och har inte 0 i mitten heller, så inte lika smidig som en normalfördelning. Man kan få fram andra sidan genom att ta 1/ eller något liknande, men smidigare att få det serverat.
Nja inte det jag menade men definitivt nyttig att tänka på, det där fick jag fundera på ett tag när jag först läste om fördelningar. För normalfördelning gäller väl λa = λ1-a eftersom den är symmetrisk? Det går att få fram andra sidan för chi2 fördelningar också genom att dividera?
Tror jag hittade felet. Om du följer dina räkningar så ser du att det intervall du faktiskt räknat vidare på täcker 5% och inte 95.
Om du istället sätter X<(n-1)s/ø i första så är det X0,95 som står på den sidan och sen räknar med det likadant så får du rätt intervall.
Micimacko skrev:Tror jag hittade felet. Om du följer dina räkningar så ser du att det intervall du faktiskt räknat vidare på täcker 5% och inte 95.
Om du istället sätter X<(n-1)s/ø i första så är det X0,95 som står på den sidan och sen räknar med det likadant så får du rätt intervall.
Hur vet vi att vi borde sätta χ²a < (n-1)s/σ? För jag försökte följa formlen i tabellen som säger:
P(X > χ²α) = α
och då satte jag
där α = 0.05
Du vill ha mindre än i svaret men eftersom sigma sitter i nämnaren kommer den byta sida så jag brukar tänka på att börja tvärtom då.
Micimacko skrev:Du vill ha mindre än i svaret men eftersom sigma sitter i nämnaren kommer den byta sida så jag brukar tänka på att börja tvärtom då.
Men det känns jättekonstigt eftersom definitionen av en α-kvantil enligt boken är arean under täthetsfunktionen till höger om χ²α dvs. sannolikheten att ett s.v. är större än χ²α och om vi vill att konfidensgraden ska vara 95% så är α = 5% = 0.05 och då ska väl vårt s.v. (n-1)s^2/σ^2 > χ²α så att sannolikheten P( (n-1)s^2/σ^2 > χ²α ) = 0.05? Jag måste ha missat något men jag ser inte hur det stämmer överens med definitionen ifall vi vänder på olikheten (för säger vi inte då att sannolikheten är 5% att vårt s.v. hamnar under dvs. till vänster om χ²α vilket borde vara 95%?)

Tror det har något med ensidigt intervall att göra då det har funkat med tvåsidiga intervall
ett exempel från en tvåsidigt intervall:

Och ifall fördelningen är symmetrisk, dvs. normal- eller t-fördelning:
Du ser själv precis vad som händer i det tvåsidiga. Den övre gränsen kommer från X0, 975. Och du ville ha en övre gräns så nu är det bara att sätta den undre till 0 och anpassa alfa (alltså inte dela med 2)
Micimacko skrev:Du ser själv precis vad som händer i det tvåsidiga. Den övre gränsen kommer från X0, 975. Och du ville ha en övre gräns så nu är det bara att sätta den undre till 0 och anpassa alfa (alltså inte dela med 2)
Hmm, ja det är sant, 1 - a = 0.975 ger faktiskt den övre gränsen. Så man försöker skriva det på ett sätt så att sigma (eller den s.v. som vi vill skatta) är mindre än X2 om man vill ha en övre gräns med konfidensgraden 1- a (och vice versa) och då ska HL alltid motsvara 1- a och inte a (för övre gränser)?
Tack förstår ungefär idén nu men fattar inte varför, är rädd att jag kommer blanda ihop > & < eller 1-a & a om det kommer en annan variant av uppgiften.
Du kan ju alltid räkna tvåsidigt först på kladdpapper och bara behålla det du vill ha sen. Jag tror inte det ger så mycket att försöka komma ihåg vilken sida som ska bli vad, det blir fort rörigt. Titta istället på vad som blev fel/rätt så du kan räkna fram det i nya uppgifter. Rita vad du vill ha och rita sen ut vad du har i varje steg kan också hjälpa.
Micimacko skrev:Du kan ju alltid räkna tvåsidigt först på kladdpapper och bara behålla det du vill ha sen. Jag tror inte det ger så mycket att försöka komma ihåg vilken sida som ska bli vad, det blir fort rörigt. Titta istället på vad som blev fel/rätt så du kan räkna fram det i nya uppgifter. Rita vad du vill ha och rita sen ut vad du har i varje steg kan också hjälpa.
Yes, tack så mycket för hjälpen!