0
svar
95
visningar
Konfidensintervall
Jag ska lösa denna uppgiften:

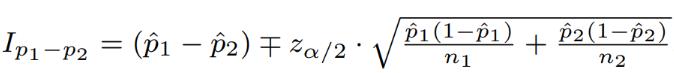
Jag tänker då att 
är en lämplig formel att utgå ifrån. Allt är givet i formeln. Men jag vet inte hur man ska tänka när man väljer vilket intervall man ska kolla på. Jag antar att, eftersom jag ska kolla om det är effektivt eller inte, ska jag välja som intervall. Om det är effektivt ska a vara större än noll, stämmer det? Alltså att jag ska räkna ut en nedre gräns.
Men jag förstår inte riktigt varför dom i lösningsförslaget har bytt plats på i formeln så man istället undersöker