konfidensintervall vs. t-test?

a-uppgiften, jag tänkte att jag skulle göra ett konfindensintervall för normalfördelning, och är felrisken (5% i intervallet så ska man behålla h0" jag kan visa hur jag gjorde
x_medelvärde = 14.796
standardavvikelsen: 16.577
n=5
t_{alfa/2, (n-1)} = enl tab = 2.27764
I_e(X) = x_medelvärde +- t_{alfa/2,(n-1)} s/sqrt(n)
= 15.796 +- 2.7764 * 16.577/5 = [24.00, 5.59]
och eftersom alfa = 5% inte är med i det intervallet ska vi slänga?
men facit använder sig utav t-test

så jag fattar inte,....
1) varför kan man inte använda sig utav konfidensintervall?
2) om man får använda sig utav konfidensintervall, varför får jag att jag vill slänga nollhypotsen? medans facit säger att man ska behålla?
3) eller tänker jag fel ang hypoteserna?fattar jag det rätt ang att om de felrisk, är IIIIII intervallet, så ska man behålla h0?
Update: jag ser att jag räknat fel, men jag fattar inte
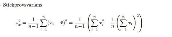
standardavvikelsen ges av formeln:

och jag räknar då http://www.wolframalpha.com/input/?i=sqrt%7B(19.08%5E2%2B18.91%5E2%2B17.69%5E2%2B18.3%5E2)-1%2F5(19.08%2B18.91%2B17.69%2B18.3)%5E2%7D
men vad är det jag får för fel?
likadant med medelvärdet= http://www.wolframalpha.com/input/?i=(19.08%2B18.91%2B18%2B18.30)%2F5
vad är det jag missar?