Kongruens vs lika med
Hej! Jag tittade på en uträkning på nätet (bild nedanför). Jag förstår dock inte varför de skriver att 10^3 är lika med 6 som är kongruent med -1 (mod7). Borde det inte vara 10^3 är kongruent med 6 som är kongruent med -1 (mod7)? Och kan man göra så i flera led och sedan skriva att 10^3 är kongruent med -1?

Dessutom förstår jag inte varför kongruens kan ge olika rester. Jag räknade först som att
10^3 är kongruent med 7^3 vilket är kongruent med 0 (mod7). Då blir det ju ingen rest alls, alltså borde 10^3 vara delbart med 7 men det är det ju inte så jag undrar bara vad jag gör för fel?
EDIT: Inser nu att det som står nedanför bilden är fel. Jag menar att 10^3 är kongruent med 3^3 (mod7), inte 7^3.
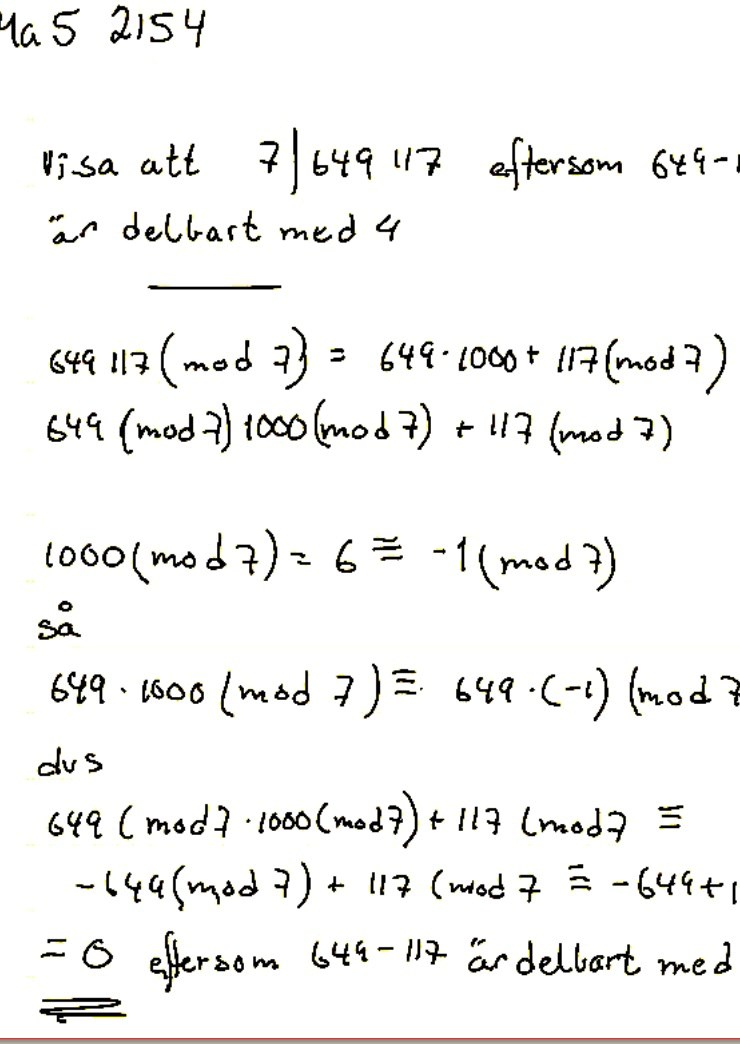
Likhetstecknet betyder att 649 har resten 6 när det delas med 7. Det finns bara 7 tänkbara rester: 0, 1, 2, ... 6.
Kongruens är lite lösare: det är helt OK att skriva att 6 är kongruent med -1 fastän -1 inte är en "godkänd" rest.
Hur kom du fram till att 103 är kongruent med 73 modulo 7? Jag får resten till 6, när man delar 1000 med 7.
Smaragdalena skrev:Likhetstecknet betyder att 649 har resten 6 när det delas med 7. Det finns bara 7 tänkbara rester: 0, 1, 2, ... 6.
Kongruens är lite lösare: det är helt OK att skriva att 6 är kongruent med -1 fastän -1 inte är en "godkänd" rest.
Hur kom du fram till att 103 är kongruent med 73 modulo 7? Jag får resten till 6, när man delar 1000 med 7.
Varför skriver de 1000=6 om det är 649 som har resten 6? Och kan man göra kongruensen i flera led? Alltså om resten är lika med 6 för 1000, och resten för 6 är lika med -1, kan man då skriva att resten för 1000 är -1?
Det där jag skrev på slutet nu inser jag är fel. Jag tänkte med räkneregeln att a^k är kongruent med b^k (mod m) och tänkte att resten av 10 delat på 7 blev 7 men det blir ju 3. Alltså borde det i så fall vara 10^3 är kongruent med 3^3 (mod 7). Då blir resten 6 som är kongruent med -1 (mod 7). Men kan man då säga att 10^3 är kongruent med -1, bara för att 10^3 är kongruent med 6 och 6 är kongruent med -1? Det funkar att göra så "i flera led" så att säga?
sund20 skrev:Smaragdalena skrev:Likhetstecknet betyder att 649 har resten 6 när det delas med 7. Det finns bara 7 tänkbara rester: 0, 1, 2, ... 6.
Kongruens är lite lösare: det är helt OK att skriva att 6 är kongruent med -1 fastän -1 inte är en "godkänd" rest.
Hur kom du fram till att 103 är kongruent med 73 modulo 7? Jag får resten till 6, när man delar 1000 med 7.
Varför skriver de 1000=6 om det är 649 som har resten 6? Och kan man göra kongruensen i flera led? Alltså om resten är lika med 6 för 1000, och resten för 6 är lika med -1, kan man då skriva att resten för 1000 är -1?
...
Man delar upp 649 117 i 649.1000 + 117 och undersöker de båda termerna var för sig. Anledningen till att man delar just där är att man har fått veta att 648 är delbart med 4 och vill använda det på något sätt.