8 svar
150 visningar
MrPotatohead 8111 – Moderator
Postad: 14 maj 2023 19:43

Kongruensräkning - fel någonstans

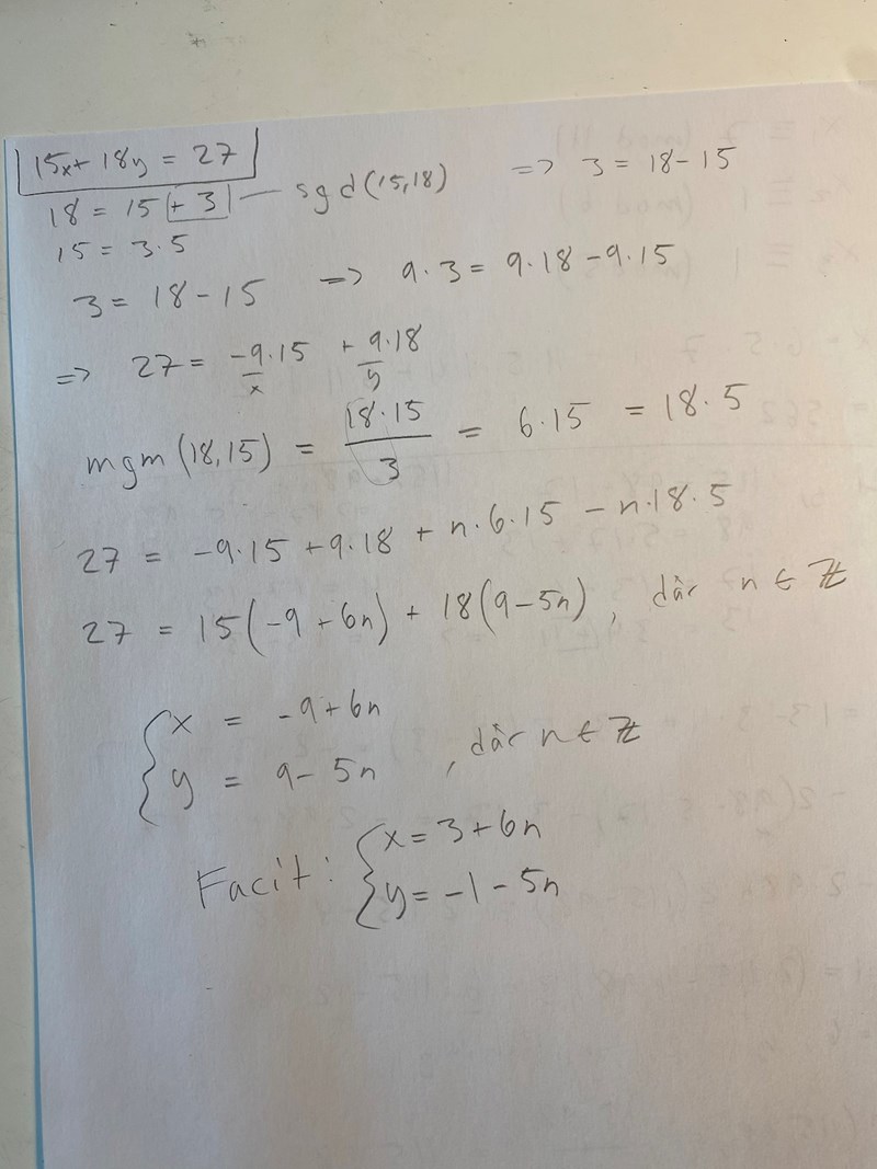
Var i denna uträkning gör jag fel:

tänker att det är nånting kring att jag multiplicerar båda led med 9..

(OBS: Har extremt flow nu i idioti så är i skört tillstånd🥹)

Laguna Online 32119
Postad: 14 maj 2023 20:43

Nej, din lösning är lika bra som facit. Om du gör om ditt n till n+2, så får du facits uttryck.

MrPotatohead 8111 – Moderator
Postad: 14 maj 2023 20:59

Ååååå vad skönt.

Tack igen🥹

Fermatrix 7621 – Fd. Medlem
Postad: 14 maj 2023 21:11 Redigerad: 14 maj 2023 21:12

Du får nog problem för att du läser uppgiften på ett lite annorlunda sätt. 

Man brukar annars lösa hjälpekvationen först, och sedan trillar den allmänna lösningen ut direkt.

Men man kanske lär ut lösningen av diofantiska ekvationer på ett annat sätt i matte 5 gentemot diskret matematik.

MrPotatohead 8111 – Moderator
Postad: 14 maj 2023 21:17
Dracaena skrev:

Du får nog problem för att du läser uppgiften på ett lite annorlunda sätt. 

Man brukar annars lösa hjälpekvationen först, och sedan trillar den allmänna lösningen ut direkt.

Men man kanske lär ut lösningen av diofantiska ekvationer på ett annat sätt i matte 5 gentemot diskret matematik.

Hur skulle det se ut?

Läser basåret på Chalmers och har märkt att vi ofta löser uppgifter på ett helt annat sätt än vad de verkar göra på gymnasiet i ma3-5 (baserat på vad jag sett på pluggakuten iaf). 

Fermatrix 7621 – Fd. Medlem
Postad: 14 maj 2023 21:24 Redigerad: 14 maj 2023 21:25

Det  första du borde göra är att leta efter största gemensamma delaren. I detta fallet hade du insett att du kan dividera allt med 3 för att erhålla ekvationen:

5x+6y=95x+6y=9.

Nu brukar man inte lösa ekvationen som den ser ut nu. Man löser först hjälpekvationen: och det betyder helt enkelt att vi löser ekvationen:

ax+by=1ax+by=1.

När du löst denna, så behöver du bara multiplicera (x0,y0)(x_0,y_0) med c för att få en lösning till en orginala ekvationen. Sedan smäller du på med n som vanligt.

MrPotatohead 8111 – Moderator
Postad: 14 maj 2023 21:31
Dracaena skrev:

Det  första du borde göra är att leta efter största gemensamma delaren. I detta fallet hade du insett att du kan dividera allt med 3 för att erhålla ekvationen:

5x+6y=95x+6y=9.

Tänkte att det borde gå, men alla övningsexempel stod i ”originalform” så trodde det var viktigt att den skulle vara det.


Nu brukar man inte lösa ekvationen som den ser ut nu. Man löser först hjälpekvationen: och det betyder helt enkelt att vi löser ekvationen:

ax+by=1ax+by=1.

Löser du denna generellt eller? Hur ser det ut?

Fermatrix 7621 – Fd. Medlem
Postad: 14 maj 2023 22:15 Redigerad: 14 maj 2023 22:15

Ja, precis. Det blir en mycket förenklad version av det du löser.

Men jag ser nu att det inte löser problemet att facit har skiftat lösningen två steg fram, förmodligen för att uppgiften hade något speciellt krav, typ att det inte ska vara negativa lösningar eller något liknande.

Du har i detta fallet fått:

1=6-51=6-5, vilket ger lösningen (-1,1)(-1,1), multiplicera med c (=9) och släng dit n så fås samma lösningar du kom fram till.


MrPotatohead 8111 – Moderator
Postad: 14 maj 2023 22:26

Aa exakt. Tack så mycket för hjälpen. 

Svara
Close