1
svar
120
visningar
Kongurens modulo

Vart kommer 4 och 5 ifrån. ?
Jag tänkte bara såhär:

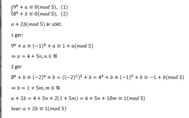
De skriver om till , men sedan adderar de 5 (ett "varv") för att slippa negativa rester. Då får vi att . Därefter skriver de om kongruensen till likheten , och det är därför femman dyker upp. De gör samma typ av omskrivning för b, och sedan adderar de ihop . Detta eftersom det är lättare att räkna med rena likheter, än med enbart rester.
Huruvida det är fel att räkna som du gjort vet jag inte, men det finns nog risk för att det kan bli problem om vi exempelvis skulle ha uttrycket .
Dock en liten kommentar! Här:

ska det väl ändå stå (samt vara ett kongruent lika med-tecken innan (mod 5)?)? :)