3
svar
239
visningar
erik behöver inte mer hjälp
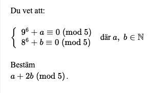
kongurrens

Hej,
Jag börjar med

Men fattar inte hur de gick till

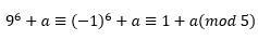
Det gäller alltså att . Subtrahera ett från båda led: .
Vi får lägga på multiplar av fem, eftersom vi räknar modulo 5. Det ger oss alltså att (för heltal n). Vi kan då bryta ut en femma, så att vi får .
Eftersom n får vara alla olika heltal, kan vi av kompakthetsskäl skriva . :)
Tackar :)
Lugnt! :)