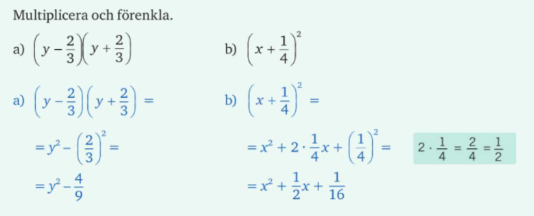
Konjugat/Kvadrering
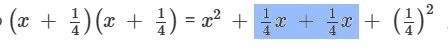
Varför är det skillnad mellan dessa tal? Varför kan man inte beräkna b som a utan man lägger till 2*1/4 mitt i talet som i näst sista blå raden. Ska inte svaret bli x2 + 1/16 ? Vart kommer 1/2x ifrån?

Tillhör detta matte 2 ens? Den fanns inte med i genomgången och detta är enda förklaring i boken.
Vad heter dessa tal med paranteser? Behöver hitta en tutorial men hittar inga tal i bråkform.
a) är tillämpning av konjugatregeln, b) av första kvadreringsregeln: (a+b)2 = a2 + 2ab + b2.
Utan kvadreringsregeln kan du multiplicera ihop = ,
där mittentermerna förenklade blir x/2.
Gör du motsvarande i a) tar två termer ut varandra och du får bara två termer i svaret.
Reglerna är bara till för att man snabbare ska kunna utveckla parenteserna, alltså utan att multiplicera ihop dem. Men reglerna bevisar man förstås genom att göra just det:
(a + b)(a - b) = a2 -ab + ba - b2 = a2 - b2
(a + b)2 = (a + b)(a + b) = a2 + ab + ba + b2 = a2 + 2ab + b2
Ok så det är samma räknesätt men med ena går det snabbare då?
Så dessa svar är likadana? Ser fortfarande inte vart 1/2 x kommer ifrån..
11*11 = (10+1)(10+1) = 10*10 + 10 + 10 + 1*1 = 121.
Menar du att 11*11 är 101?
Ser fortfarande inte vart 1/2 x kommer ifrån..

Ja precis jag räknar fram till det du har markerat blått. Det sista talet inom parantes har jag inte med..känns som jag har förvirrat till det...
Det sista talet inom parantes
= 1/16
Talet är ju två stycken av 1/4..varför blir det tre stycken i uträkningen?
Louis skrev:Det sista talet inom parantes
= 1/16
Det är svaret du har skrivit ut menar du? Så beräkningen tar slut vid blå markeringen?
Alltså (1/4)2 = 1/16, sista termen i svaret .
Jag blåmarkerade de två termer som förenklade blir x/2.
Eftersom du frågade var x/2 kommer ifrån.
Är du med på hopmultipliceringen i #6?
Uppgiften är slarvigt formulerad. Det står "multiplicera" som låter som "multiplicera ihop parenteserna", men sedan är det reglerna som de använt i facit. Eller så har de hoppat över led.
Ja nu är jag med :) efter massa om och men! Tack för hjälpen!!