2
svar
150
visningar
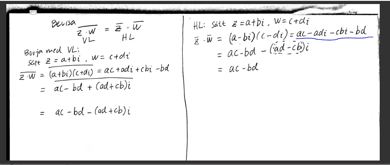
Konjugat räkneregler
Jag försöker att bevia ett konjugatet räkneregler enligt denna video:
https://www.youtube.com/watch?v=kZRIvP2VyqE&list=PLdZeQDrKw-bVQQVU3tkffdl0IeWTxRyk4&index=6

VL och HL verkar inte vara samma här som de borde vara.
Det är felskrivet i VL. Det ska vara ett minustecken framför adi och cbi.
EDIT: Läste fel, vänta ska jag kika noggrannare igen :)
Precis. Det bör vara ett + tecken mellan ad och cd i det som är inringar med streckade streck i HL. Bryter du ut -i från -adi - cdi får man -i (ad+cd) vilket då stämmer överens med VL.