Konjugatregeln
Hej!
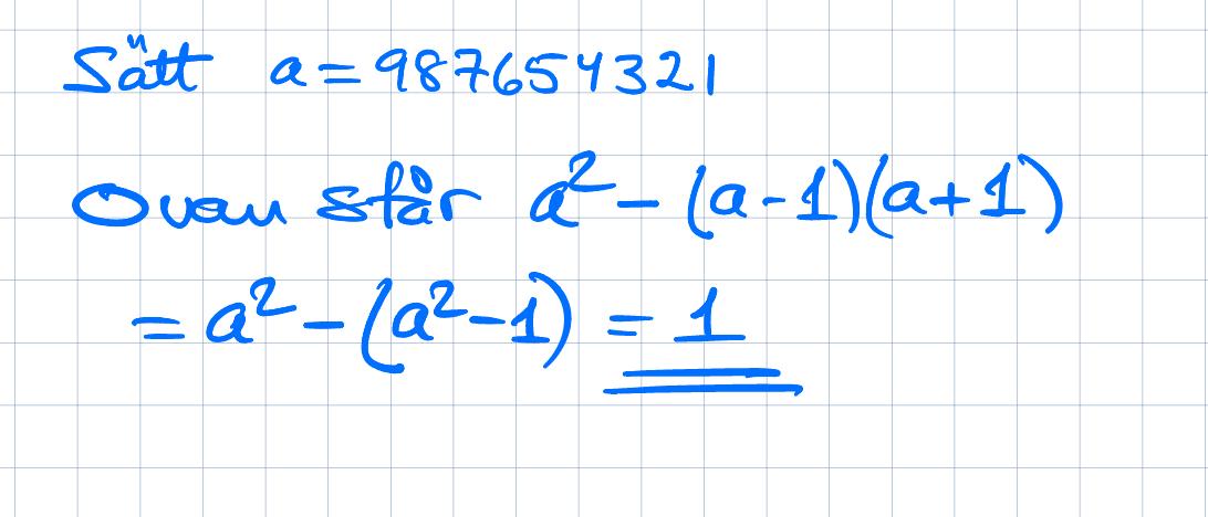
Jag har räknat tidigare med konjugat och kvadreringsregeln men denna uppgift har jag svårt med att förstå hur jag ska räkna ut det. det går liksom inte ihop i mitt huvud och jag vet inte vart jag ska börja. För referens är uppgifterna jag har "tränat" på väldigt enkla som ser ut något som det här: (2x-5
Men eftersom denna uppgift inte följer samma "format" vet jag inte hur jag ska göra. Tack för svar, lösning eller annat! Här är problemet (ja, det är fråga 5 med "alla" nummer, alltså inte "faktoriserings-frågan"):

Angelina P skrev:Hej!
Jag har räknat tidigare med konjugat och kvadreringsregeln men denna uppgift har jag svårt med att förstå hur jag ska räkna ut det. det går liksom inte ihop i mitt huvud och jag vet inte vart jag ska börja. För referens är uppgifterna jag har "tränat" på väldigt enkla som ser ut något som det här: (2x-5
Men eftersom denna uppgift inte följer samma "format" vet jag inte hur jag ska göra. Tack för svar, lösning eller annat! Här är problemet (ja, det är fråga 5 med "alla" nummer, alltså inte "faktoriserings-frågan"):

Men gud, då blev det väldigt mycket lättare! Tack så hemskt mycket för en bra förklaring!