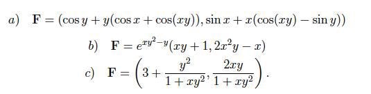
Konservativa fält och dess potential..

De skriver enligt wikipedia, att rotationen är lika noll. Då antar jag att om vi har en rotation som ser ut enligt följande 
där röda punkten motsvarar startpunkten, , och den gröna motsvarar punkten ? så då
fortsätter artikeln och säger

men då måste dom mena
eller?
Och om jag vill lösa denna uppgift, om det är ett konservativt fält och vad dess potential är.. jag börjar med c (den såg lättast ut?)

Då ska jag:
Och
ger enligt Wolfram

Är det ett sätt att säga då, att det är ett konservativt fält?
---
Men jag kom på nu, att jag ska ta integralen av dom, så tar jag då integralen av u m.a.p x, så får jag

det känns inte rätt?
EDIT: 20:15, förlåt för att det blir kladdigt, men det finns ingen förhandska funktion, så blir att jag måste posta inlägget innan jag kan se vad det är jag slarvar till det med XD
Vet du vad rotationen av ett vektorfält är? Det har inte att göra med formen på någon kurva, utan är en egenskap hos fältet.
De skriver enligt wikipedia, att rotationen är lika noll. Då antar jag att om vi har en rotation som ser ut enligt följande
där röda punkten motsvarar startpunkten, a, och den gröna motsvarar punkten b?
Korrekt.
men då måste dom mena
Om a och b ligger ovanpå varandra, ja. Annars gäller endast att .
Och om jag vill lösa denna uppgift, om det är ett konservativt fält och vad dess potential är.. jag börjar med c (den såg lättast ut?)
Ja, det är alltid en bra idé att kontrollera rotationsfrihet. Notera dock att rotationsfrihet krävs i alla punkter för att en funktion ska få kallas rotationsfri.
För att hitta potentialen behöver du sedan hitta en funktion sådan att och att . Detta görs förslagsvis genom att integrera F1 med avseende på x och F2 med avseende på y. :)
det känns inte rätt?
Om du känner dig osäker, derivera med avseende på x respektive y. Vad händer?
För att hitta potentialen behöver du sedan hitta en funktion sådan att och att . Detta görs förslagsvis genom att integrera F1 med avseende på x och F2 med avseende på y. :)det känns inte rätt?
Om du känner dig osäker, derivera med avseende på x respektive y. Vad händer?
@Smutstvätt, jag integrerade ju med avseende på och då fick jag en log-funktion, vilket inte känns okej? eller? kanske det kan vara.. ?
Och så deriverade jag sedan med avseende på så som jag gjorde, men jag kan endast få omm
jag kallade för resp dock..
Smutstvätt skrev:De skriver enligt wikipedia, att rotationen är lika noll. Då antar jag att om vi har en rotation som ser ut enligt följande
där röda punkten motsvarar startpunkten, a, och den gröna motsvarar punkten b?
Korrekt.
men då måste dom mena
Om a och b ligger ovanpå varandra, ja. Annars gäller endast att .
Och om jag vill lösa denna uppgift, om det är ett konservativt fält och vad dess potential är.. jag börjar med c (den såg lättast ut?)
Ja, det är alltid en bra idé att kontrollera rotationsfrihet. Notera dock att rotationsfrihet krävs i alla punkter för att en funktion ska få kallas rotationsfri.
För att hitta potentialen behöver du sedan hitta en funktion sådan att och att . Detta görs förslagsvis genom att integrera F1 med avseende på x och F2 med avseende på y. :)det känns inte rätt?
Om du känner dig osäker, derivera med avseende på x respektive y. Vad händer?
jag vet inte om citatet kom med, men jag svarade dig, i mitt inlägg ovanför detta.
jag integrerade ju F1 med avseende på xx och då fick jag en log-funktion, vilket inte känns okej? eller? kanske det kan vara.. ?
Så länge du får samma* funktion när du integrerar F1 med avseende på x som när du integrerar F2 med avseende på y är det lugnt. :)
samma*
Det måste gälla att
Och så deriverade jag sedan F1 med avseende på x så som jag gjorde
När det gäller rotation i planet ges formeln som . :) Om du inte får för alla x och y är fältet inte konservativt.
jag kallade F1,2 för u resp v dock..
Det spelar ingen roll. Anledningen till att F1,2,... ofta används är för att ha samma notation för alla fält, oavsett dimensioner. :)
Smutstvätt skrev:jag integrerade ju F1 med avseende på xx och då fick jag en log-funktion, vilket inte känns okej? eller? kanske det kan vara.. ?
Så länge du får samma* funktion när du integrerar F1 med avseende på x som när du integrerar F2 med avseende på y är det lugnt. :)
samma*
Det måste gälla att
Och så deriverade jag sedan F1 med avseende på x så som jag gjorde
När det gäller rotation i planet ges formeln som . :) Om du inte får för alla x och y är fältet inte konservativt.
jag kallade F1,2 för u resp v dock..
Det spelar ingen roll. Anledningen till att F1,2,... ofta används är för att ha samma notation för alla fält, oavsett dimensioner. :)


Då är det inte konservativt? (enligt de två bilderna) och då är också potentialet, inputen jag skrivit i wolframalpha?
Jodå, fältet är konservativt. 3x-termen uppkommer inte när du integrerar med avseende på y, eftersom termen endast beror av x. Som jag skrev i spoilern i inlägg ovan, du kommer att få en "huvudfunktion", i detta fall , samt eventuella "sidofunktioner", i detta fall . Så länge "sidofunktionerna" från vardera integral endast beror av den variabel vi integrerat med avseende på, är detta helt okej. Om vi deriverar med avseende på y, får vi samma sak som om vi deriverar med avseende på y, eftersom behandlas som en konstant.
På samma sätt som vi måste lägga till en konstant C när vi beräknat integralen , måste vi när vi beräknat integralen lägga på en funktionsterm som beror på de variabler vi inte integrerat med avseende på (dvs. de variabler som skulle betraktats som konstanter vid derivering med avseende på x). Dvs. . Det är precis samma sak som när vi lägger till C vid integration av f(x) med avseende på x, bara det att nu kan C innehålla variabler. :)
Smutstvätt skrev:Jodå, fältet är konservativt. 3x-termen uppkommer inte när du integrerar med avseende på y, eftersom termen endast beror av x. Som jag skrev i spoilern i inlägg ovan, du kommer att få en "huvudfunktion", i detta fall , samt eventuella "sidofunktioner", i detta fall . Så länge "sidofunktionerna" från vardera integral endast beror av den variabel vi integrerat med avseende på, är detta helt okej. Om vi deriverar med avseende på y, får vi samma sak som om vi deriverar med avseende på y, eftersom behandlas som en konstant.
På samma sätt som vi måste lägga till en konstant C när vi beräknat integralen , måste vi när vi beräknat integralen lägga på en funktionsterm som beror på de variabler vi inte integrerat med avseende på (dvs. de variabler som skulle betraktats som konstanter vid derivering med avseende på x). Dvs. . Det är precis samma sak som när vi lägger till C vid integration av f(x) med avseende på x, bara det att nu kan C innehålla variabler. :)
Men då har jag skrivit fel? för jag tolkade det som att
integrerar ju då ska det vara dy där istället?
Nej, det är helt korrekt. F1 ska integreras med avseende på x, och F2 på y.
sannakarlsson1337 skrev:Smutstvätt skrev:Jodå, fältet är konservativt. 3x-termen uppkommer inte när du integrerar med avseende på y, eftersom termen endast beror av x. Som jag skrev i spoilern i inlägg ovan, du kommer att få en "huvudfunktion", i detta fall , samt eventuella "sidofunktioner", i detta fall . Så länge "sidofunktionerna" från vardera integral endast beror av den variabel vi integrerat med avseende på, är detta helt okej. Om vi deriverar med avseende på y, får vi samma sak som om vi deriverar med avseende på y, eftersom behandlas som en konstant.
På samma sätt som vi måste lägga till en konstant C när vi beräknat integralen , måste vi när vi beräknat integralen lägga på en funktionsterm som beror på de variabler vi inte integrerat med avseende på (dvs. de variabler som skulle betraktats som konstanter vid derivering med avseende på x). Dvs. . Det är precis samma sak som när vi lägger till C vid integration av f(x) med avseende på x, bara det att nu kan C innehålla variabler. :)Men då har jag skrivit fel? för jag tolkade det som att
integrerar ju då ska det vara dy där istället?
Men då får jag ju ändå inte så som du skrev innan? om du ser till mina wolfram-bilder?
Smutstvätt skrev:Nej, det är helt korrekt. F1 ska integreras med avseende på x, och F2 på y.
Såg att jag citerade fel, se mitt inlägg ovan. För då kan ju inte 3x vara en kostnatn, om jag integrerar på den med avseende på x.
Fältet i uppgift c) är konservativt eftersom
Vi kan alltså ta fram en potentialfunktion . Den ska uppfylla
Dessa måste gälla samtidigt, alltså är vår sökta potentialfunktion:
Jroth skrev:Fältet i uppgift c) är konservativt eftersom
Vi kan alltså ta fram en potentialfunktion . Den ska uppfylla
Dessa måste gälla samtidigt, alltså är vår sökta potentialfunktion:
Hur vet man att vilken av dessa U man ska använda då? Nu tog ju du den U(x,y) som hade 3x i sig, och inte den andra tex.
sannakarlsson1337 skrev:Hur vet man att vilken av dessa U man ska använda då? Nu tog ju du den U(x,y) som hade 3x i sig, och inte den andra tex.
Nej, jag undersökte för vilka och villkoren är uppfyllda samtidigt (på en konstant när). ger
Nu har vi alltså (på en konstant när) hittat vår potentialfunktion. Dvs
En alternativ bestämning av potentialen är en sorts ansatsmetod, enligt följande:

Är vi någorlunda överens?
Jroth skrev:sannakarlsson1337 skrev:Hur vet man att vilken av dessa U man ska använda då? Nu tog ju du den U(x,y) som hade 3x i sig, och inte den andra tex.
Nej, jag undersökte för vilka och villkoren är uppfyllda samtidigt (på en konstant när). ger
Nu har vi alltså (på en konstant när) hittat vår potentialfunktion. Dvs
Men måste man egentligen skriva allt sånt där? Räcker det egentligen inte med att bara skriva
om U(x, y) ger att U'x=P och U'y=Q så är man klar?
dr_lund skrev:En alternativ bestämning av potentialen är en sorts ansatsmetod, enligt följande:
Är vi någorlunda överens?
Men måste man egentligen skriva allt sånt där? Räcker det egentligen inte med att bara skriva
om U(x, y) ger att U'x=P och U'y=Q så är man klar?
Smutstvätt skrev:Jodå, fältet är konservativt. 3x-termen uppkommer inte när du integrerar med avseende på y, eftersom termen endast beror av x. Som jag skrev i spoilern i inlägg ovan, du kommer att få en "huvudfunktion", i detta fall , samt eventuella "sidofunktioner", i detta fall . Så länge "sidofunktionerna" från vardera integral endast beror av den variabel vi integrerat med avseende på, är detta helt okej. Om vi deriverar med avseende på y, får vi samma sak som om vi deriverar med avseende på y, eftersom behandlas som en konstant.
På samma sätt som vi måste lägga till en konstant C när vi beräknat integralen , måste vi när vi beräknat integralen lägga på en funktionsterm som beror på de variabler vi inte integrerat med avseende på (dvs. de variabler som skulle betraktats som konstanter vid derivering med avseende på x). Dvs. . Det är precis samma sak som när vi lägger till C vid integration av f(x) med avseende på x, bara det att nu kan C innehålla variabler. :)
Men måste man egentligen skriva allt sånt där? Räcker det egentligen inte med att bara skriva
om U(x, y) ger att U'x=P och U'y=Q så är man klar?
För att kunna derivera U måste du ju känna till U?
Men ja, känner du till U så räcker det med att visa att U uppfyller villkoren (i ett öppet område ) om det enda du vill visa är att är ett konservativt fält (i området).
Jroth skrev:För att kunna derivera U måste du ju känna till U?
Men ja, känner du till U så räcker det med att visa att U uppfyller villkoren (i ett öppet område ) om det enda du vill visa är att är ett konservativt fält (i området).
ja juste, man måste ju såklart känna till U innan... :p