Konservativt vektorfält
På de sista raderna så integreras med avseende på x, vi får en konstant C(y), varför beror denna konstant på y?

För att om du deriverar den med avseende på är den lika med noll.
SaintVenant skrev:För att om du deriverar den med avseende på är den lika med noll.
Men om man deriverar en konstant med avseende på vilken variabel som helst så blir det 0? Varför just y? Är ett exempel på C(y)=2y?
Ja. Det kan vara vilken funktion som helst av enbart . Poängen är att den kommer vara lika med noll då hålls konstant vid derivering.
Ett exempel kan vara eller vad som helst. Så länge som det bara är en funktion av .
SaintVenant skrev:Ja. Det kan vara vilken funktion som helst av enbart . Poängen är att den kommer vara lika med noll då hålls konstant vid derivering.
Ett exempel kan vara eller vad som helst. Så länge som det bara är en funktion av .
Hur blir konstanten till F(x,y,z) om vi ska integrera phi med avseende på x? C(y,z)?
Rimligtvis. Allt du håller konstant vid en derivering kan inte uteslutas när du ska ta fram en primitiv funktion med antiderivata.
SaintVenant skrev:Rimligtvis. Allt du håller konstant vid en derivering kan inte uteslutas när du ska ta fram en primitiv funktion med antiderivata.
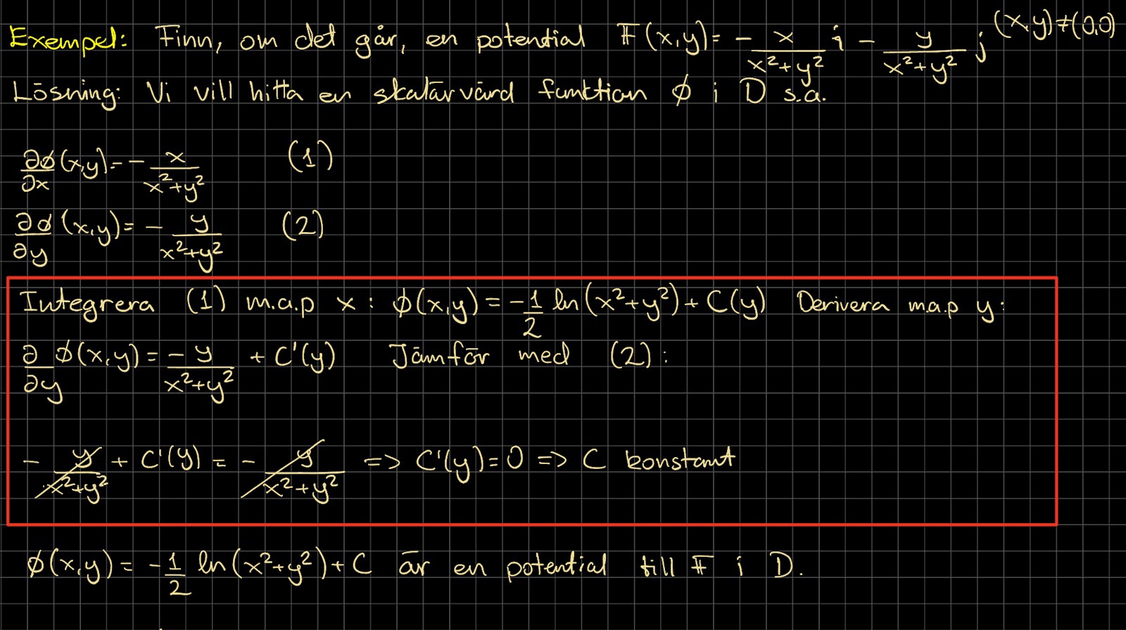
Jag gillar dina svar så jag ställer en till fråga, hoppas det går bra. Om så sägs vektorfältet vara konservativt. I bilden nere (specifikt röd ruta) så gör man just det, man sätter gradienten lika med vektorn F. Sedan börjar man integrera osv osv, men vad är det man egentligen vill åstadkomma med beräkningarna? I sista raden så har vi C’(y)=0 och här slutar beräkningarna, är det något specifikt med konstanten vi är ute efter? Eller är det helt enkelt så att vi vill kunna stryka båda termerna för annars får vi en extra term i som beror av (x,y) som vid derivering ger oss en konstant som inte kommer vara lika med F?

Cien skrev:...vad är det man egentligen vill åstadkomma med beräkningarna? I sista raden så har vi C’(y)=0 och här slutar beräkningarna, är det något specifikt med konstanten vi är ute efter?
Hm, vad du menar med åstadkomma förstår jag nog inte. Resultatet visar att det är en konstant, vilken som helst, men att den specifikt inte är en funktion av .
Det hade kunnat vara så att den var lika med något annat så som . Detta är viktigt då vi måste beskriva potentialen fullständigt.
Eller är det helt enkelt så att vi vill kunna stryka båda termerna för annars får vi en extra term i som beror av (x,y) som vid derivering ger oss en konstant som inte kommer vara lika med F?
Ja, det kan man nog enkelt säga.