2
svar
77
visningar
Cien behöver inte mer hjälp
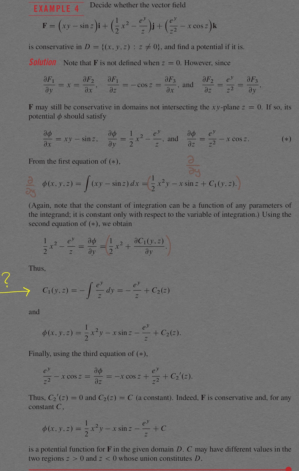
Konservativt vektorfält 2
Vid gul pil till bilden nedan, vad händer där? I raden över kan jag tänka mig att de integrerar C1 konstanten men det verkar lite skumt för det integrerar inte varje term.
Om du stryker x^2/2 I HL och VL, och multiplicerar upp dy och sedan integrerar så har du c1(y,z)=....
Dracaena skrev:Om du stryker x^2/2 I HL och VL, och multiplicerar upp dy och sedan integrerar så har du c1(y,z)=....
Ah! självklart… dålig miss av mig. Tack!