Konstanten aoch b
Hur ska ja gå tillväga med detta nu. Måste jag lösa ut först var den skär eller?
Det var ett bra första steg att skriva dem på formen y = kx + m, så at du ser att det är två linjer du jobbar med, och helt rätt att lösningen till ekvationssystemet är linjernas skärningspunkt.
Om det ska finnas oändligt många lösningar så betyder det att båda ekvationerna beskriver samma linje (annars finns det ju bara en skärningspunkt, eller möjligen 0 om de är parallella). Att det är samma linje betyder att de ska ha samma k-värde och samma m-värde. Vilka värden på a respektive b ger identiska k- och m-värden för de båda linjerna?
Som vanligt svarar du inte på kommentarer utan skriver bara nya beräkningar.
haraldfreij gav dig all viktig info: Det är samma linje som beskrivs på de två sätten. Du verkar inte alls ha reagerat på detta.
Du skriver korrekt om linjernas ekvationer på formen y=kx+m. Vad du gör därefter förstår jag inte alls.
Om du förklarar Hur du tänker, finns det möjlighet att någon kan hjälpa dig.
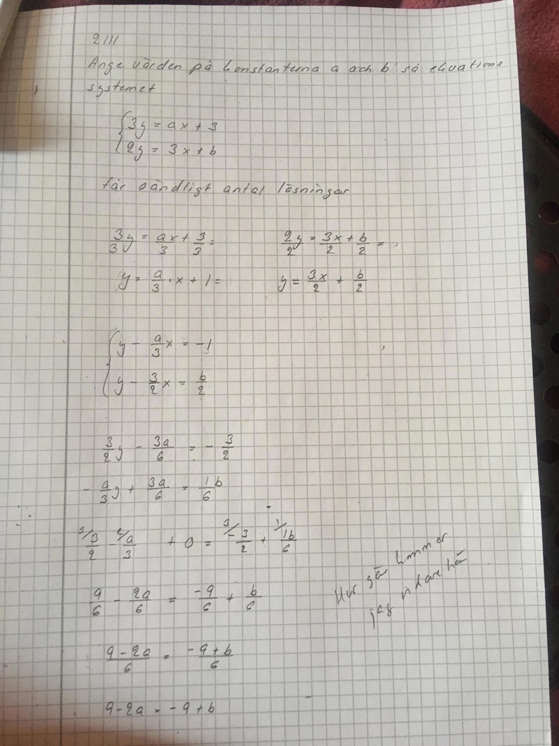
Jag försökte lösa ekvationssystemet på vanligt sätt, men upptäckte att detta inte går. Sedan kom jag på att jag måste ta de två tillsammans som har x och ax ihop och jämföra de med varandra. Då går det lösa ut detta och då får man veta vad a är för något.
Ex
a/3= 1,5
a= 3*1,5
a=4,5
———-
b/2= 1
b= 2*1
b = 2
——-
visar bild
Päivi skrev :Jag försökte lösa ekvationssystemet på vanligt sätt ...
Ja det ser så ut. Har jag rätt när jag påstår att du bara började räkna utan att fundera på varför du började lösa ekvationssystemet, vad det skulle leda fram till och på vilket sätt det skulle ta dig närmare svaret?
----------
Kommentar på lösningen av ekvationssystemet:
Det hade varit enklare att eliminera y genom att bara multiplicera en av ekvationerna med -1 och sedan summera dem. Då hade du minskat risken för de slarvfel som du nu gjorde (blåmarkerade):

Päivi skrev :
Jag försökte lösa ekvationssystemet på vanligt sätt, men upptäckte att detta inte går. Sedan kom jag på att jag måste ta de två tillsammans som har x och ax ihop och jämföra de med varandra. Då går det lösa ut detta och då får man veta vad a är för något.
Ex
a/3= 1,5
a= 3*1,5
a=4,5
———-
b/2= 1
b= 2*1
b = 2
——-
visar bild
Ja, det har du, Yngve, men jag har ju löst det här nu efter hand.
Päivi skrev :
Ja, det har du, Yngve, men jag har ju löst det här nu efter hand.
Ja det har du och det är jättebra.
Men det betyder också att du bör träna på följande när du tar dig an uppgifter:
- Läs uppgiften ordentligt.
- Vad frågar de efter egentligen?
- Vilka relevanta samband är det som gäller?
- Vad behöver jag veta för att kunna lösa uppgiften?
- Hur får jag reda på det som behövs för att kunna lösa uppgiften?
---------------
Att börja räkna utan att veta varför eller vad det ska leda till är lite som nattorientering utan karta, kompass och pannlampa: Du kommer säkerligen inte dit du ska och du kommer troligen att springa in i ett träd.
Det bra Yngve
