7 svar
135 visningar
micke2z behöver inte mer hjälp
micke2z 361
Postad: 6 aug 2024 11:10

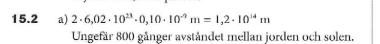
konstig uppgifter där man beräkna uppradade atomers längd


Facit: 


Min fråga är då : varför multiplicera min med 2? 

Yngve 42667
Postad: 6 aug 2024 11:21 Redigerad: 6 aug 2024 11:45

Den här är llite lurig, men svaret finns i uppgiftstexten. Läs den igen noga.

Säg till om du behöver mer ledtråd.

micke2z 361
Postad: 6 aug 2024 11:53
Yngve skrev:

Den här är llite lurig, men svaret finns i uppgiftstexten. Läs den igen noga.

Säg till om du behöver mer ledtråd.

en till ledtråd tack :D

Yngve 42667
Postad: 6 aug 2024 11:56 Redigerad: 6 aug 2024 11:56

Lite kemikunskaper kring vätemolekyler ...

micke2z 361
Postad: 6 aug 2024 12:01
Yngve skrev:

Lite kemikunskaper kring vätemolekyler ...

en väte har en proton. Den har ett skal, molmassan = 1.01 vilket jag tror vi inte har någon användning av.  Första skalet behöver 2 för att fylla skalet därmed måste man multiplicera med 2.

fner 1672
Postad: 6 aug 2024 12:06

Det har inte med elektronskalen att göra.

Vet du hur en vätgasmolekyl ser ut rent geometriskt?

micke2z 361
Postad: 6 aug 2024 12:08
fner skrev:

Det har inte med elektronskalen att göra.

Vet du hur en vätgasmolekyl ser ut rent geometriskt?

den har 2 väte?

Yngve 42667
Postad: 6 aug 2024 12:15 Redigerad: 6 aug 2024 12:18

Japp, varje vötgasmolymekyl (H2) består av två vöteatomer.(H).

Svara
Close