Gör en tråd för varje fråga, det blir så rörigt annars!/moderator
Det är en fråga, men del moment på den uppgiften. Det är bara en enda fråga, men plockats till delar.
Tack för hjälpen Magdalena.
Hej Päivi. Nu har du markerat att du är nöjd med hjälpen i denna tråd.
Betyder det att du inte behöver mer hjälp?
Päivi, vet du om att du håller på att få mig att sluta svara på dina frågor? Är det verkligen vad du vill?
Det är tre olika frågor, även om det är samma uppgift. De bygger inte på varandra.
Smaragdalena skrev :Gör en tråd för varje fråga, det blir så rörigt annars!/moderator
Magdalena ansåg detta bli rörigt och då förstod jag att jag får inte ens fråga och därför bockade jag för och tackade för hjälpen, Yngve!
Smaragdalena skrev :Päivi, vet du om att du håller på att få mig att sluta svara på dina frågor? Är det verkligen vad du vill?
Det är tre olika frågor, även om det är samma uppgift. De bygger inte på varandra.
De bygger på varandra.
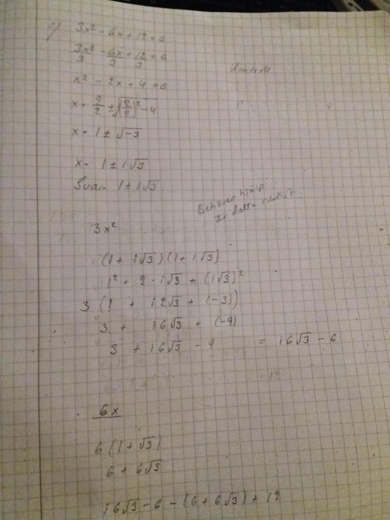
3x^2-6x+12=0
Detta är en uppgift och övriga är del momenter bara.
Man behöver inte svara om så känns, men märker jag av det, kommer jag så småningom försvinna från PA också. Det är bara tids fråga idag.
Du har inte svarat på min fråga:
-> Behöver du mer hjälp med uppgiften eller inte?
Om du tycker att min moderering inte är korrekt, kan du skicka ett PM till mig eller någon annan moderator. /moderator
Jag har behövt ha hjälp Yngve! Var inte närheten av telefonen nyss. Hade annat att göra nyss.
Varför ställer en fråga till tråden annars Yngve? Jag skulle ha sagt med en gång att jag inte behöver mer hjälp, när jag inte svarar, då behöver jag det.
Nu för tiden kommer mina frågor minska rejält. Har jag av misstag lagt en fråga på tråden och har löst den, kommer det stå Error. Detta betyder att det var ett miss.
Päivi skrev :Varför ställer en fråga till tråden annars Yngve? Jag skulle ha sagt med en gång att jag inte behöver mer hjälp, när jag inte svarar, då behöver jag det.
Menar du verkligen på allvar att vi ska inse att du behöver mer hjälp bara genom att du inte besvarar frågan om du behöver mer hjälp?
I så fall ser jag att du har två val:
- Tänk om och börja kommunicera med oss. Beskriv tydligt vad du vill och vad du inte vill. Sluta att förlita dig på vår tankeläsningsförmåga, den är usel.
- Fortsätt som nu och förvänta dig att vi ska kunna veta vad du vill utan att du behöver uttrycka det. Då får du ställa in dig på att bli fortsatt besviken.
Jag behöver hjälp. Vill man inte, då måste jag bocka för. Det beror på, hur man svarar.
Du tycker att det är konstigt att vi inte förstår att du vill ha fortsatt hjälp i tråden Päivi.
Men idag har du återigen tackat för hjälpen och markerat frågan som löst (gröna knappen). Det är en signal att du inte behöver mer hjälp.
Men ändå förväntar du dig att vi ska inse att du faktiskt behöver mer hjälp. Du sänder ut helt fel signaler.
--------
Läste du ens mitt inlägg igår där jag beskrev att ironi och sarkasm inte funkar bra i skriven form och att "tacka för hjälpen" och markera tråden dom löst tyder på att du inte behöver mer hjälp?
Vilka delar av det jag skrev var det som du inte förstod?
Du skrev då att du förstår mig mycket väl, men jag ser inget som helst tecken på det idag.
Jag ville ha hjälp med hur man kontrollerar denna komplexa fråga lösning att detta stämmer. Därför lade jag den ut på tråden.
Jag tog fram delar av den. Man ska inte behöva ha tre trådar öppet bara ha en uppgift. De här hörde ihop med varandra är alltså en ekvation.
Sedan beror det på, hur man svarar till mig som första svar om jag bockar för eller inte. Detta är bara ett bevis att man inte vill hjälpa.
Sedan tackar jag för svaret.
Jag har svarat redan, läser du inte Yngve det?
Men du ska ändå få svar på din fråga: Uträkningen av är rätt, men i uträkningen av har du tappat bort ett i. Du har använt istället för .
Päivi skrev :Jag behöver hjälp. Vill man inte, då måste jag bocka för. Det beror på, hur man svarar.
Det måste du inte alls. Du har två val, som jag skrev ovan. Du väljer hur du vill göra.
Men om du väljer att tacka för hjälpen och markera tråden som löst så får du ställa in dig på att du inte får några fler svar. Så är det bara. Jag vet inte längre vad jag ska göra för att få dig att förstå det.
Päivi skrev :
Ja nu stämmer det.
Du har nu kontrollerat att den ena roten stämmer.
Om du vet att rötterna alltid förekommer i komplexkonjugerade par så behöver du inte kontrollera även den andra roten.

