4
svar
112
visningar
Stämmer det? 1332 C
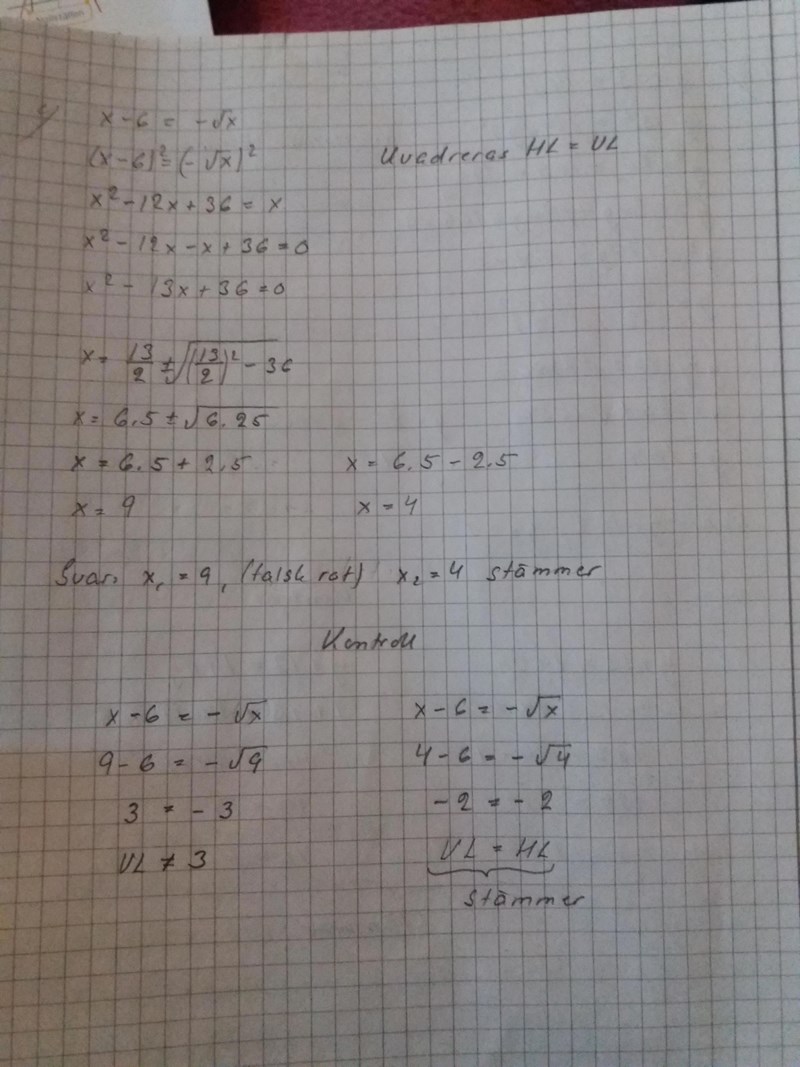
C uppgift

Du ska inte ange den falska roten i ditt svar.
Vet du hur jag istället skulle ha löst uppgiften?
Visa då, Yngve
Det är bra veta
Päivi skrev :Visa då, Yngve
Det är bra veta
Substituera . Då är och ekvationen kan alltså skrivas .
Och så vidare. Pröva gärna!
Det ska jag göra. Jag har hunnit tydligen räkna stort sätt alla sådana här uppgifter. Har lite kvar, innan kapitlet är slut för mig.