3
svar
148
visningar
jonte12 behöver inte mer hjälp
Konvergens
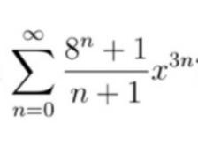
Jag har fått en uppgift där jag ska lösa för vilka x serien konvergerar:

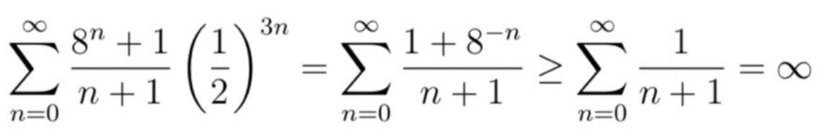
Jag fick konvergens radien till 1/2. Sen när jag ska under söka +1/2 kan man göra på följande sätt som jag inte förstår:

Hur kan det bli lika med oändligheten? Jag tycker det borde gå mot noll?
Nej, det är en känd serie som divergerar. Beviset för det brukar stå någonstans i kapitlet om oändliga serier.
Du har
sedan adderar man ihop 8 termer som är större än eller lika med , så summan blir större än
nästa grupp är 16 termer som är större än eller lika med 1/32, så summan blir mer än 1/2
och så vidare.
Blandar du ihop summan med termerna nu?
Du kan använda samma jämförelser i serier som i integraler, så tänk 1/x.