Konvergens av fourieserie
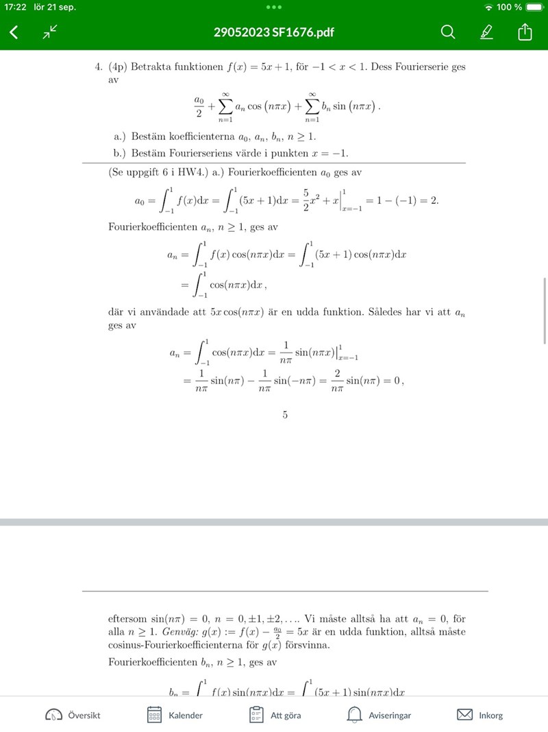
Hej, jag förstår inte lösningen till deluppgift b). Om f(x) närmar sig x =-1 från höger resp vönster borde båda närma sig 5(-1) + 1 = -4. Men facit hövdar något annat och jag hönger inte med. 

Var divergerar dina tankar frn facit?
f (-1) vänsterifrån går mot 6
f(-) högerifrån går mot -4
medelvärde 1.
sorry för lite slarvig teckning.

Hur vet man att funktionen är periodisk?
Sorry, det står faktiskt inte så felaktigt antagande från mig. Tack! Men ändå, var i lösningen börjar dina frågetecken?
Fast å andra sidan skriver de f(-1 -) och f(-1 +) . Hur kan den ha ett värde om inte periodisk?
Funktionen är bara definierad på intervallet . Den är varken periodisk eller jämn/ojämn.
Däremot har någon redan tagit fram en Fourierserie som ska ges av uttrycket
Fast med . Vi inser att det är det exakta uttrycket för Fouriersumman av en -periodisk funktion. Man skulle alltså kunna tänka sig en periodisk utökning över hela . Vi döper den utökade funktionen till och noterar att på intervallet där är definierad.
I b) uppgiften frågar man INTE efter funktionens värde i punkten (den är inte ens definierad där), man frågar efter Fourierseriens värde. Och under kursen bör man ha lärt sig att summan konvergerar till (konvergenssatsen)
Alltså får vi värdet
I praktiska räkningar skiljer man sällan mellan och dess utökning . Tvärtom kallas båda ofta lite slarvigt . Men det kan vara pedagogiskt värdefullt att skilja dem åt för att sätta lite extra fokus på när utökningen äger rum och vad den innebär.