7
svar
214
visningar
Konvergent eller divergent
Är detta korrekt? Eller har jag tänkt fel?
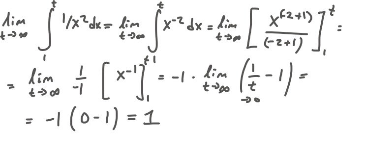
Nja den generaliserade integralen i a) är konvergent eftersom integralen närmar sig värdet 1 för stora värden på a
Jag insåg att jag gjorde fel tidigare, såhär måste det ju bli?
Eller ska jag dela med -3?
Har läst det, men jag förstår inte har jag gjort fel eller?
Jag förstår inte vad du menar
Du har tänkt helt rätt. Däremot så löste du integralen lite fel. 