konvergent eller divergent ?
Hej jag behöver lite hjälp med att första vad konvergent och divergent innebär. Såsom jag har förstått det så konvergerar en serie om det existerar ett gränsvärde när k→∞.
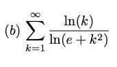
Jag har följande serie som jag ska ta reda på om den konvergerar eller konvergerar absolut.

Jag skriver om och får att
Facit säger att serien divergerar. Hur kommer det sig att den divergerar trots att den närmar sig 1/2 när k→∞?
hejmo skrev:Hej jag behöver lite hjälp med att första vad konvergent och divergent innebär. Såsom jag har förstått det så konvergerar en serie om det existerar ett gränsvärde när k→∞.
Jag har följande serie som jag ska ta reda på om den konvergerar eller konvergerar absolut.
Jag skriver om och får att
Facit säger att serien divergerar. Hur kommer det sig att den divergerar trots att den närmar sig 1/2 när k→∞?
Vart försvinner summatecknet? Sen behöver du tänka igenom hur logaritmreglerna funkar.
förlåt glömde skriva in lim, det ska stå
Det där uttrycket är lika med 1/2 även utan limes, men brydde du dig om det som Smutsmunnen skrev?
Hej,
Det gäller att skilja på vad som händer med termerna då ökar och vad som händer med summan. Självklart har du rätt i att gränsvärdet av termen är lika med en halv, men vad innebär det då för summan om vi summerar ihop en massa halvor? Eller till och med fler än bara en massor?
Jag skulle vilja formulera divergensen på följande vis:
Ändliga summor är inga problem för konvergens, så det enda intressanta är vad som händer för stora . Betrakta därför istället summan för något sådant att (motivera varför ett sådant finns):
.
Då gäller att din summa är större än summan , som tydligt divergerar.
Slutligen är givetvis din summa i uppgiften större än då vi bara har struntat i dom första termerna, vilka alla är större än noll.
