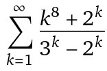
Konvergent eller divergent?

Hur löser jag denna smidigast? Jämförelsetestet? Kvottsetet? Dela upp bråket?
bryta isär summan,alltså stoppa in k=1,2,3,... i den allmänna formeln då avgörs tydligt att summan blir divergent eftersom första termen blir 3,andra blir 52,tredje blir 345,femte blir 1008 osv.
Alltså ökar termerna när k ökar.
alireza6231 skrev :bryta isär summan,alltså stoppa in k=1,2,3,... i den allmänna formeln då avgörs tydligt att summan blir divergent eftersom första termen blir 3,andra blir 52,tredje blir 345,femte blir 1008 osv.
Alltså ökar termerna när k ökar.
Denna metod är felaktig. Bara för att termerna blir större behöver det inte betyda att serien inte konvergerar. Och i detta fallet ökar termerna bara upp till , sedan minskar de.
Det riktiga sättet att bestäma om serien konvergerar är med hjälp av de olika testerna. I detta fallet är man nog tvungen att använda kvottestet, även om det är ganska mödosamt.
Varför minskar den efter k=7?
Det är för att i täljaren "drar ifrån" och blir större än allt det andra, och om täljaren blir större relativt nämnaren gör det ju att själva bråket blir mindre. Man behöver dock inte veta detta för att bestämma seriens konvergens.