11 svar
401 visningar
RaK00 33 – Fd. Medlem
Postad: 3 jun 2020 16:04 Redigerad: 3 jun 2020 16:05

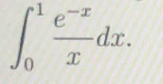
Konvergent eller divergent funktion

Hej! Jag försöker lösa detta problem, om funktionen är divergent eller konvergent, men jag kommer inte fram till något, kan nån hjälpa mig

cjan1122 416 – Fd. Medlem
Postad: 3 jun 2020 16:09

Vad händer med funktionen och därmed också med integralen nära 0?

RaK00 33 – Fd. Medlem
Postad: 3 jun 2020 16:27 Redigerad: 3 jun 2020 16:28
cjan1122 skrev:

Vad händer med funktionen och därmed också med integralen nära 0?

Kunde inte bestämma integralen, den var för svår. Men jag tror att funktionen växer nära noll eller!?

RaK00 33 – Fd. Medlem
Postad: 3 jun 2020 16:38
cjan1122 skrev:

Vad händer med funktionen och därmed också med integralen nära 0?

Jag såg nyss på nätet att lösningen till integralren är ”exponential integral” och det har vi inte haft i högskolan än, hur kan jag lösa det på ett annat sätt

Laguna Online 31801
Postad: 3 jun 2020 17:08
cjan1122 skrev:

Vad händer med funktionen och därmed också med integralen nära 0?

Om du menar att integralen är divergent för att integranden är det, så stämmer inte det generellt. Titta på 1x\frac{1} {\sqrt{x}}, t. ex. 

Micimacko 4136
Postad: 3 jun 2020 17:24

Jag hittade på en gissning. Rätta gärna om något ser skumt ut. 

cjan1122 416 – Fd. Medlem
Postad: 3 jun 2020 17:25 Redigerad: 3 jun 2020 17:30
Laguna skrev:
cjan1122 skrev:

Vad händer med funktionen och därmed också med integralen nära 0?

Om du menar att integralen är divergent för att integranden är det, så stämmer inte det generellt. Titta på 1x\frac{1} {\sqrt{x}}, t. ex. 

Tänkte inte på det faktiskt. Har nämligen inte pluggat universitetsmatte än utan gick mer på det jag kan nu. Kan du förklara varför den är divergent om samma resonemang inte gäller? Ska man använda jämförelser eller något?

Edit: nvm, såg micimackis inlägg som kom upp precis innan, fattar varför nu :)

Micimacko 4136
Postad: 3 jun 2020 18:26

Inser att min förra lösning inte var så smidig 😅  (fortf nyfiken på om man får göra så)

Men en bättre ide är att bara hitta valfri siffra som är mindre än e^-x och byta till. 

Laguna Online 31801
Postad: 3 jun 2020 19:19
cjan1122 skrev:
Laguna skrev:
cjan1122 skrev:

Vad händer med funktionen och därmed också med integralen nära 0?

Om du menar att integralen är divergent för att integranden är det, så stämmer inte det generellt. Titta på 1x\frac{1} {\sqrt{x}}, t. ex. 

Tänkte inte på det faktiskt. Har nämligen inte pluggat universitetsmatte än utan gick mer på det jag kan nu. Kan du förklara varför den är divergent om samma resonemang inte gäller? Ska man använda jämförelser eller något?

Edit: nvm, såg micimackis inlägg som kom upp precis innan, fattar varför nu :)

Integraler av potenser kommer i gymnasiet, tror jag. Om du kan derivera potensfunktioner så prova att derivera x\sqrt{x}

cjan1122 416 – Fd. Medlem
Postad: 3 jun 2020 19:55

 

Integraler av potenser kommer i gymnasiet, tror jag. Om du kan derivera potensfunktioner så prova att derivera x\sqrt{x}

Haha inte det jag menade. Skillnad på att derivera och integrera enkla funktioner och det micimacki gjorde med intressanta jämförelser och taylorpolynom. Tack ändå

Laguna Online 31801
Postad: 3 jun 2020 20:08
cjan1122 skrev:

 

Integraler av potenser kommer i gymnasiet, tror jag. Om du kan derivera potensfunktioner så prova att derivera x\sqrt{x}

Haha inte det jag menade. Skillnad på att derivera och integrera enkla funktioner och det micimacki gjorde med intressanta jämförelser och taylorpolynom. Tack ändå

Deriverar du x\sqrt{x} så ser du att primitiva funktionen till 1x\frac{1} {\sqrt{x}} är 2x2\sqrt{x} , men jag kanske missförstod dig. 

Dr. G 9618
Postad: 3 jun 2020 20:14 Redigerad: 3 jun 2020 20:16
Micimacko skrev:

Inser att min förra lösning inte var så smidig 😅  (fortf nyfiken på om man får göra så)

Men en bättre ide är att bara hitta valfri siffra som är mindre än e^-x och byta till. 

Precis, då e^(-x) är "ofarlig" på hela intervallet så är integralen större än

01e-1xdx\displaystyle \int_0^1\frac{e^{-1}}{x}dx

som är divergent. 

Svara
Close