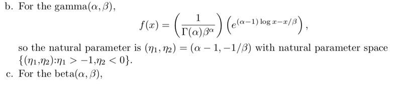
2
svar
49
visningar
Micimacko behöver inte mer hjälp
Konvergent integral
Jag kan inte riktigt se vad som händer då n1 är mellan 0 och minus ett. Boken tycker den är konvergent då, jag tycker inte det. För om n1 är tex -1/2, då får jag det till e^((-1/2)*(-οο)), som borde vara divergent?


Integranden går mot oändligheten när x går mot 0, men integralen är ändå ändlig. Tänk t.ex. på .
Ja, så blir det ju förstås 🤦♀️ Tack!