2
svar
72
visningar
Konvergent serie
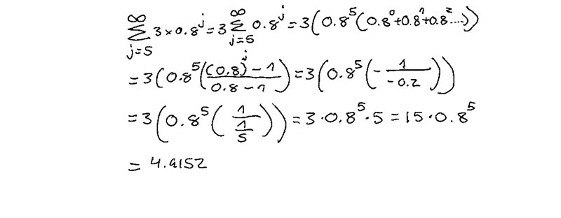
Förstår inte vad skillnaden är mellan min uträkning och den på hemsidan? Borde inte min fungera?
min uträkning:
på hemsidan

Jag tror det står fel på hemsidan: 1-0.84 ska vara 1-0.85.
Din metod fungerar.
Tack!