3
svar
105
visningar
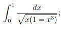
Konvergerande eller divergerande integral
Nån som kan hjälpa till med denna? Har bland annat försökt dela upp den från 0 till 1/2 samt 1/2 till 1. Men förstår inte hur man ska tänka i den senare av dem. Kanske har jag börjat på fel sätt också?

Som vanligt är den första frågan: Har du ritat?
Tack för svar! Hur menar du? Ritat vadå?
Har du ritat upp funktionen, så att du ser vad det är för integral du försöker beräkna? Om man inte gör det är det nästan omöjligt att få fram rätt svar på en integral.
Om du skriver in din integral i WolframAlpha ser du att den är konvergent, så då blir det lite enklare, när man vet vad man vill bevisa.