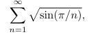
konvergerar eller divergerar?
Halloj, har lite problem med följande serie. Långt ifrån min starkaste sida, hade verkligen uppskattat lite hjälp!!

Jag vet ju att serien är positiv. om jag betraktar funktionen ser jag att den inte är monotont avtagande så Cauchys integralkriterium fungerar inte. Rotkriteriet ger mig då k går mot oändligheten så det hjälper mig inte riktigt heller. Rottecknet ställer till det lite när jag testar att maclaurin-utveckla också, så därifrån kommer jag inte riktigt vidare därifrån. Det som återstår tänker jag är att jämföra med en enklare serie, men jag vet inte riktigt hur jag ska "hitta" en serie som faktiskt är enklare?
Hoppas någon förstår vad jag menar, tack på förhand!
Jag tror att du kan hitta något värde y som är tillräckligt stort så att funktionen är monotont avtagande för alla värden där x>y. Titta på tex de fem första värdena i serien.
Du kan ignorera rottecknet. Det är lättare att analysera utan det, och slutsatserna är samma även om du ignorerar det.