Konvergerar summan?
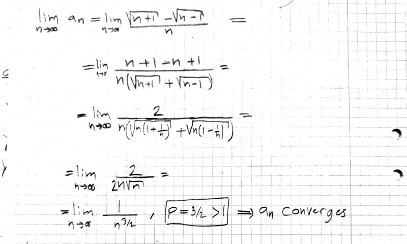
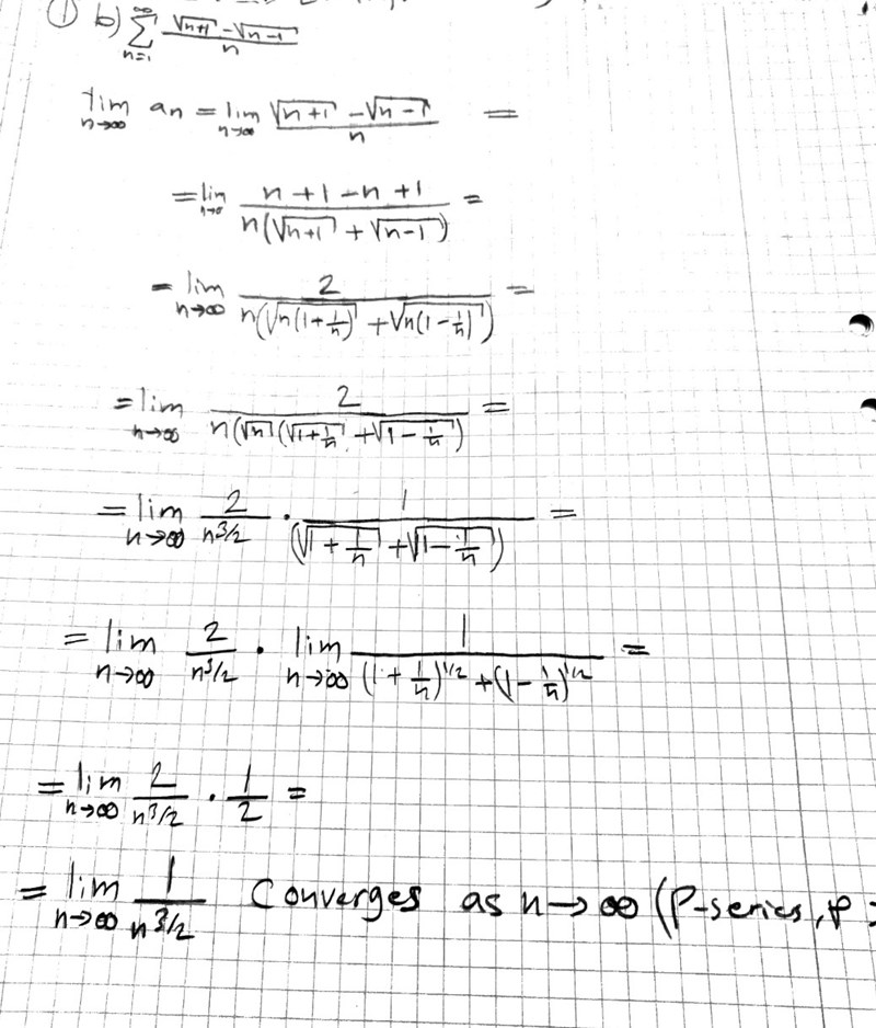
Avgör om är konvergent eller divergent.
Har jag gjort rätt? Facit säger att serien är konvergent dessutom.

Hur får du likhet mellan rad 3 och 4?
Micimacko skrev:Hur får du likhet mellan rad 3 och 4?
Jag bryter ut 🤔
Låt oss prova. Vi tar n = 2. Nämnaren på rad tre = . Nämnaren på rad fyra = .
Du kan inte räkna ut delar av gränsvärdet när det passar. Nu blev det nog ungefär samma sak här om vi kollar på väldigt stora n, men det finns inget som säger att du har samma tur nästa gång, du kan råka ändra svaret helt med sånt slarv.
Kommer fram till samma svar...

Det var inte svaret det var fel på 😉
Ser bättre ut
Micimacko skrev:Det var inte svaret det var fel på 😉
Ser bättre ut
Ja, alltså, jag vet att ni tyckte att det var slarvigt att jag försummade (1/n) termerna. Men i slutändan är det ju samma princip, då man kommer fram till rätt svar? Eller menar ni att jag måste visa det där steget från rad 3 till rad 4?
Du skriver likhetstecken när det inte är det. Det är inte slarvigt, det är fel.
Dessutom ser det konstigt ut att ha limes-värdet för en enskild term. Den är förstås 0 när man har gått i limes, inte en funktion av n.
Korrekt är att ha med summatecknet hela tiden.
Laguna skrev:Du skriver likhetstecken när det inte är det. Det är inte slarvigt, det är fel.
Dessutom ser det konstigt ut att ha limes-värdet för en enskild term. Den är förstås 0 när man har gått i limes, inte en funktion av n.
Korrekt är att ha med summatecknet hela tiden.
Skulle du kunna visa hur du hade löst den? Typ bara uppställningen av de första stegen..