Koordinater, diagonaler skär varandra
FRÅGAN:
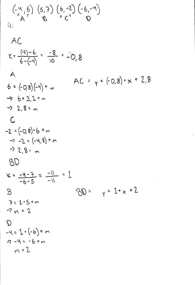
Punkterna (−4, 6) , (5, 7) , (6, −2) och (−6, −4) utgör hörnen i en fyrhörning. Bestäm
koordinaterna för den punkt där fyrhörningens diagonaler skär varandra. Svara exakt.
Jag vet inte hur jag ska börja...
jag vet att den räta linjens ekvation är
Och att lutningskoefficienten är
Men jag vet inte hur jag ska lösa uppgiften...
Du bör börja med att markera punkterna i ett koordinatsystem och rita fyrhörningen.
Sedan kan du gå vidare med att bestämma ekvationerna för de båda diagonalerna och använda dessa ekvationer för att hitta skärningspunkten.
Visa dina försök.
Måste man rita upp koordinaterna i ett koordinatsystem..??
Hur ska jag fortsätta..?? Ska jag använda mig av ekvationerna ovan som jag skrev tidigare..??

Nej. Men det kan vara bra att rita upp för att få överblick när man man är osäker på uppgiften. Nu kan du ju dra två räta linjer mellan AC och DB och se vilken punkt de har gemensamt.
Edit. Med "dra två räta linjer", så menar jag ställa upp funktioner för de två linjerna.
Nej du måste inte rita figur. Men om du gör det så blir det uppenbart vilka diagonalerna är, vilka samband du ska ställa upp för att finna deras ekvationer och du minskar dessutom risken att göra fel.
Jag tycker att du även ska rita in diagonalerna. Hur ska du annars kunna kontrollera om den skärningspunkt du sedan räknar fram algebraiskt verkar rätt eller inte?
Okej... Jag förstår syftet med att rita in det i ett koordinatsystem!
men hur ska jag räkna ut det... ska jag använda mig av det jag skrev tidigare..??
Ja. Du har två räta linjer och .
Bestäm deras lutningar med hjälp av och med hjälp av en av punkterna på respektive linje.
Här är det jag fått fram... hur ska jag gå tillväga för att veta vart exakt linjerna skär i varandra...?
Du vill alltså ta reda på var linjerna AC och BD korsar varandra, d v s lösa ekvationen -0,8x+2,8 = x+2. Rita in linjerna i ditt koordinatsystem så att du får en visuell kontroll av om dina värden blir rätt.
Snyggt och prydligt.
Du har en linje AC som beskrivs av ekvationen y = -0,8x + 2,8 och en annan linje BD som beskrivs av ekvationen y = x + 2.
-------------
Nu till en grundläggande insikt kring ekvationer och motsvarande grafer:
- Alla punkter (x, y) som ligger på linjen AC uppfyller ekvationen y = -0,8x + 2,8.
- Alla punkter (x, y) som uppfyller ekvationen y = -0,8x + 2,8 ligger på linjen AC.
På samma sätt:
- Alla punkter (x, y) som ligger på linjen BD uppfyller ekvationen y = x + 2.
- Alla punkter (x, y) som uppfyller ekvationen y = x + 2 ligger på linjen BD.
---------------------
Om vi använder den kunskapen så kommer vi fram till följande:
Det finns endast en punkt (x, y) som ligger på båda linjerna och det är skärningspunkten.
Det finns alltså endast en punkt (x, y) som uppfyller båda ekvationerna och det är skärningspunkten.
För att hitta den punkten ska du alltså lösa det linjära ekvationssystemet
y = -0,8x + 2,8
y = x + 2
Du kan då använda någon av de metoder som finns, bl.a.
- Substitutionsmetoden.
- Additionametoden
- Grafisk metod.
Vilken av dessa känner du dig mest bekväm med?
Jag vet inte hur jag ska fortsätta...
Bra början.
Addera nu 0,8x till båda sidor och förenkla.
Subtrahera sedan 2 från båda sidor och förenkla.
Sedan är det bara en beräkning kvar.
Visa dina uträkningar steg för steg.