Koordinatmatris, vektoraddition
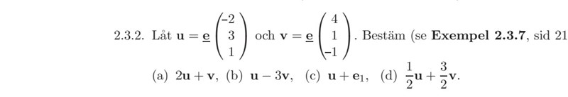
Hej hej har svårt att förstå denna fråga och fick fel enl facit. Det är fråga c) jag tänkte så att jag adderar u med e1 från v men detta blir fel, hur ska man tänka vid sådana situationer? Tack på förhand ( på bilden ska det vara "ej lika med" på den andra raden)


Det står inget om v i c, så v skulle kunna få vara vad som helst, och påverkar inte svaret.
Laguna skrev:Det står inget om v i c, så v skulle kunna få vara vad som helst, och påverkar inte svaret.
Okej, så jag tänkte var att e1 finns i u och i v. Och i och med att man ska addera u med e1 så tog jag e1 i v och adderade det till u. Vilken e1 menar de annars ?
Med e1 menar de vektorn .
PATENTERAMERA skrev:Med e1 menar de vektorn .
Okej då förstår jag. Så när de skriver att man adderar med e1 menas inte e1 i u eller v utan vektorn för det, är det alltid så?
Ex om det hade stått i+e2 då hade det varit [u]+ e(0,1,0)?
Vad menar du med i?
PATENTERAMERA skrev:Vad menar du med i?
Sorry menar u, så det vill säga om det exempel hade stått
u+e1
Hade jag adderar u:s koordinater med e2( 0,1,0) i matris dvs
e1, e2 och e3 är basvektorer. Det betyder att e1 har koordinaterna (1, 0, 0), e2 har koordinaterna (0,1,0) och e3 har koordinaterna (0, 0, 1). Du räknar som vanligt med dessa vektorer. Så, om det står u+e1 kommer koordinatmatrisen för denna vektor vara (-2+1, 3+0, 1+0)
Hondel skrev:e1, e2 och e3 är basvektorer. Det betyder att e1 har koordinaterna (1, 0, 0), e2 har koordinaterna (0,1,0) och e3 har koordinaterna (0, 0, 1). Du räknar som vanligt med dessa vektorer. Så, om det står u+e1 kommer koordinatmatrisen för denna vektor vara (-2+1, 3+0, 1+0)
Okej då förstår jag, tack så mycket för hjälpen!