2
svar
708
visningar
sandande120 behöver inte mer hjälp
Kopplingsschema - starkaste vs. svagaste ljuset
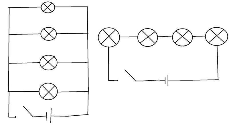
Hej! Min uppgift är att skapa en koppling med 4 lampor och ett batteri och med dessa skapa så starkt ljus som möjligt samt så svagt ljus som möjligt. Är dessa lösningar rätta? Parallellkoppling (vänster) som starkaste ljuset och seriekoppling (höger) som svagaste ljuset?

Ja!
I parallellkopplingen så är spänningen lika stor hos alla lampor, medan i seriekopplingen delar lamporna på spänningen.
beerger skrev:Ja!
I parallellkopplingen så är spänningen lika stor hos alla lampor, medan i seriekopplingen delar lamporna på spänningen.
Tack!