10 svar
305 visningar
Marx behöver inte mer hjälp
Marx 383
Postad: 20 okt 2019 13:25

Kor och betemark

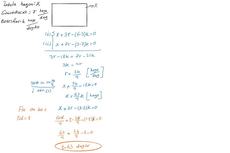
Betet i en hage har visat sig räcka 3 dagar till 6 kor och 7 dagar till 3 kor. Hur länge räcker betet till en ko?


Det som är helt tydligt är att betefarten sjunker om antalet kor minskar. Men hur allt det här hänger ihop vet jag inte. Kan någon hjälpa mig? 

Tack på förhand!

Horsepower 464 – Fd. Medlem
Postad: 20 okt 2019 14:34

Ta hänsyn till sambanden och gör en funktion, där antal dagar är beroende av antalet kor.

Horsepower 464 – Fd. Medlem
Postad: 20 okt 2019 14:47

Tänk också på FF (förändringsfaktor)...

Marx 383
Postad: 20 okt 2019 15:23
Horsepower skrev:

Ta hänsyn till sambanden och gör en funktion, där antal dagar är beroende av antalet kor.

Menar du en exponentialfunktion? För att sambanden inte är linjära

Yngve 42666
Postad: 20 okt 2019 15:48 Redigerad: 20 okt 2019 15:57
Marx skrev:

Menar du en exponentialfunktion? För att sambanden inte är linjära

Du har bara två punkter, så visst kan det vara ett linjärt samband.

Har du postat frågan i rätt kategori? Om uppgiften kommer från ett avsnitt som handlar om linjära funktioner och ekvationssystem så är det säkerligen ett linjärt samband.

Men jag håller med om att det i så fall är lite oklart på vilket sätt just denna modell beskriver verkligheten.

En förklaring till de lite märkliga mätvärdena kan ju annars vara att betet växer samtidigt som det betas av och att betet därför räcker längre ju färre kor som finns i hagen.

Marx 383
Postad: 20 okt 2019 15:52
Yngve skrev:
Marx skrev:

Menar du en exponentialfunktion? För att sambanden inte är linjära

Du har bara två punkter, så visst kan det vara ett linjärt samband.

Har du postat frågan i rätt kategori? Om uppgiften kommer från ett avsnitt som handlar om linjära funktioner och ekvationssystem så är det säkerligen ett linjärt samband.

Men jag håller med om att det i så fall är lite oklart på vilket sätt just denna modell beskriver verkligheten.

Ärligt talat visste jag inte i vilket kategori borde jag posta frågan! Men i fall det är en linjär funktion så måste det vara två parametrar och inte en? 

Yngve 42666
Postad: 20 okt 2019 16:00
Marx skrev:
Ärligt talat visste jag inte i vilket kategori borde jag posta frågan! Men i fall det är en linjär funktion så måste det vara två parametrar och inte en? 

Varifrån kommer uppgiften?

Vad menar du med två parametrar? En linjär funktion kan beskrivas som f(x) = kx + m och då är ju k och m två obekanta. 

Marx 383
Postad: 20 okt 2019 16:43 Redigerad: 20 okt 2019 17:17
Yngve skrev:
Marx skrev:
Ärligt talat visste jag inte i vilket kategori borde jag posta frågan! Men i fall det är en linjär funktion så måste det vara två parametrar och inte en? 

Varifrån kommer uppgiften?

Vad menar du med två parametrar? En linjär funktion kan beskrivas som f(x) = kx + m och då är ju k och m två obekanta. 

En kompis har skickat den till mig. Både aritmetik och linjära ekvationssystem bör ingå i uppgiften. 

Marx 383
Postad: 20 okt 2019 17:35

Jag tror att man behöver förutsätta att gräset också växer per dag. Då har vi:

Idén med att gräset också växer fick jag från en vän på en annan sida för ett tag sen!

Smaragdalena 78892 – Avstängd
Postad: 20 okt 2019 17:50

Eftersom vi bara har två samband mellan variabeln "antal kor" och variabeln  "antal dagar som betet räcker" så man kan göra mängder av olika kurvor som passerar genom de båda punkterna, och som ger olika värden för hur många dagar betet räcker för en stackars ensam ko.

Marx 383
Postad: 20 okt 2019 20:39
Smaragdalena skrev:

Eftersom vi bara har två samband mellan variabeln "antal kor" och variabeln  "antal dagar som betet räcker" så man kan göra mängder av olika kurvor som passerar genom de båda punkterna, och som ger olika värden för hur många dagar betet räcker för en stackars ensam ko.

Ja, det stämmer.

Svara
Close