0
svar
95
visningar
Kovarians
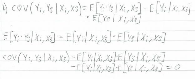
Jag skall lösa följande uppgift.


Då har jag löst det genom följande

Dock så förstod inte min lärare hur jag löst den utan ville ha ett förtydligande, jag förstår dock inte hur man skall kunna förtydligande det.. Har jag kanske tänkt fel här? Det var främst påståendet i mitten angånde E(Yi * Yj betingat på Xi, Xj) som jag fick kommentar på. Men är det inte så man skall skriva det när man antar att variablerna är oberoende?