6
svar
68
visningar
Kraft och moment jämvikt



Löst ja rätt?
Du har gjort rätt på allt som skulle kunna vara svårt.
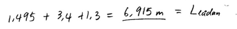
1.3 + 3.4 + 1.495 är däremot egentligen lätt. :-)
Förlåt, ja hänger inte med.
Kan du utvidga din svar?
Tydlig bild, tydlig lösning. Allt är jättebra men du gör ett litet slarvfel:
Programmeraren skrev:Tydlig bild, tydlig lösning. Allt är jättebra men du gör ett litet slarvfel:
Jo, summa, alltså den momentarm för lådan i punkten A borde bli 6.195, inte 6.915 eller hur?