Krafter

Då m2 hänger är då a = g = 9.82m/s2. Detta betyder att m1 dras och spänning bildas. Man kan då väl räkna spännkraften genom kraftekvationen F =ma då man vet accelerationen och massan för m1 (6kg)?
Är det så enkelt? för friktion försummas så jag behöver inte bry mig att det lutar på en viss grad osv visst?
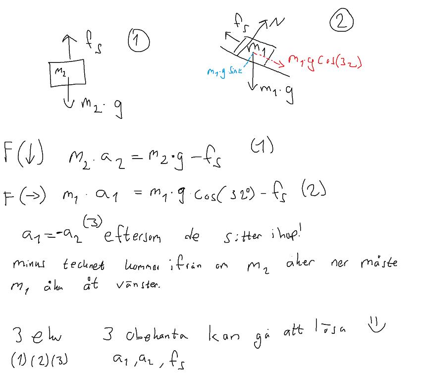
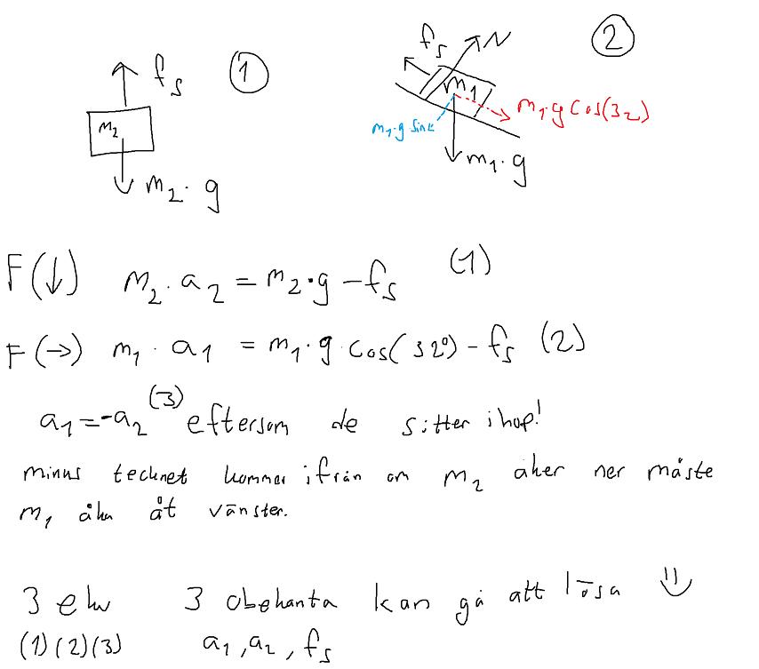
Har ni jobbat med friläggning? Problemet är att vi vet ej om det är jämnvikt eller inte? Så jag kollar på summa krafter =m*a för båda massorna var för sig. Sedan kopplar jag samman accelerationerna eftersom de sitter ihop med en tråd.
Egocarpo skrev:
Har ni jobbat med friläggning? Problemet är att vi vet ej om det är jämnvikt eller inte? Så jag kollar på summa krafter =m*a för båda massorna var för sig. Sedan kopplar jag samman accelerationerna eftersom de sitter ihop med en tråd.
jag antog att riktningen neråt med m2 var den positiva riktningen.
Jag behandlande systemet som ett stort objekt och beräknade accelerationen genom att summera alla krafter och delade det på den kombinerade massan (alltså bara )
a = /10
a = 0.806m/s2
Nu när jag har acceleration av systemet kan jag beräkna ut S (spänningen) på låt oss säga M2
är detta korrekt?
Jag har blandat ihop sin och cos så jag håller med att det borde vara sinus delen av kraften som blir den bidragande kraften på m2.
a = 6×9.82 - 6×9.82×sin(32)/10 Varför har siffran 6 två gånger här? Ska det vara en 4:a på andra termen? Sedan måste alla krafterna vara delade med 10kg inte bara den komponenten från m2.
a = (6×9.82 - 4×9.82×sin(32))/10. Så kan det stämma tror jag :)
Egocarpo skrev:Jag har blandat ihop sin och cos så jag håller med att det borde vara sinus delen av kraften som blir den bidragande kraften på m2.
a = 6×9.82 - 6×9.82×sin(32)/10 Varför har siffran 6 två gånger här? Ska det vara en 4:a på andra termen? Sedan måste alla krafterna vara delade med 10kg inte bara den komponenten från m2.
a = (6×9.82 - 4×9.82×sin(32))/10. Så kan det stämma tror jag :)
Jodå my bad skrev exakt som du skrev, tack så mycket (va lite för snabb med att skicka meddelandet)
Har ni jobbat med friläggning? Problemet är att vi vet ej om det är jämnvikt eller inte? Så jag kollar på summa krafter =m*a för båda massorna var för sig. Sedan kopplar jag samman accelerationerna eftersom de sitter ihop med en tråd.