Krafter -acceleration
Hejsan
Jag skulle behöva ha lite vägledning med denna uppgift.
Enligt given information har jag mätt att
F1=10N, F2=6N och F3=5 N
ska man först beräkna vinkeln mellan F2 och F2 ?
Vilken kraft ska man välja för att dela upp i komposanter? Är det F1?


Hej.
Tips: Uttryck de tre krafterna som vektorer i koordinatform och summera dem för att få fram den resulterande kraften Fres.
Rita ut den resulterande kraften och använd något trigonometriskt samband för att bestämma riktningen.
Accelerationen a ges sedan av Fres = m*a, där m är bollens massa.

Steg 1: Är detta att uttryck I de tre krafterna som vektorer i koordinatform och summera dem för att kunna börja få fram den resulterande kraften Fres.
Steg2: Rita ut den resulterande kraften i som skär i mitten av parallellogrammet
Steg 3 använd trigonometriskt samband för att bestämma riktningen. Cos =närliggande katet/hypotenusan. Sin= motstående katet/hypotenusan?
Biorr skrev:
Steg 1: Är detta att uttryck I de tre krafterna som vektorer i koordinatform och summera dem för att kunna börja få fram den resulterande kraften Fres.
Nej, jag menar att t.ex. F1 kan skrivas (10, 2) eftersom det är koordinaterna gör pilspetsen om man lägger origo vil pilen start.
Då blir F2 (3, 6)
och F3 (5,0)
Kan man summera då krafterna har olika riktningar?
Uppgiften påminner om en Lab jag hade nyligen.

Biorr skrev:Då blir F2 (3, 6)
och F3 (5,0)
[...]
Lägg in ett koordinatsystem med origo vid den punkt därifrån krafterna utgår, en horisontell x-axel och en vertikal y-axel.
Vilka koordinater har då pilspetsarna?
Hur menar du?
Var det att F2 spetsen får koordinater (3, 6)
och F3 spetsen får koordinater (5,0)
Jag menar att du ska lägga in ett koordinatsystem, så här:

Villa koordinater får då de tre pilspetsarna?
F2 blir väl, då avrundat x=3 (horisontell) så är y=6 (vertikal?
Jag kanske missförstår
Det stämmer att F2 kan skrivas som (3, 6).
Hur kan F3 skrivas?
F3 blir väl, då x=5 (horisontell) så är y=0 (vertikal?
Nej, x-koordinaten för F3 är -5, inte 5.
Du har alltså att
F1 = (10, 2)
F2 = (3, 6)
F3 = (-5, 0)
Är du med på det?
Ursäkta, jo jag skrev fel. Vänster om x-leden är minus, samt under x-leden är y minus .
Ursäkta det sena svaret. Har varit på jobbet.
OK bra.
Du kan nu summera dessa vektorer koordinatvis, vilket ger dig den resulterande kraften i koordinatform.
Om du är osäker på hur du ska göra detta så kan du läsa om vektorer I koordinatform här (scrolla ner en bit).
Du kan summera alla tre vektorerna på en gång och med ett kortare skrivsätt:
(10, 2)+(3, 6)+(-5, 0) = (10+3+(-5), 2+6+0) = (8, 8).
Är du med på det?
Markera i så fall punkten (8, 8) i koordinatsystemet och rita en pil som börjar i origo och slutar i denna punkt.
Denna pil representerar den resulterande vektorn.
Längden av denna pil är den resulterande kraften storlek och vinkeln ser du i koordinatsystemet.
kan man visa sin beräkning på detta sätt?
Fr = 8 N ?
då varje ruta är 1 N
Nej, jag tycker inte att du ska visa den på det sättet.
Din skiss är i stort sett bra, det enda är att du har tre pilar som du kallar Fr.
Om din uträkning:
Dels så är följande fel (det gulmarkerade):

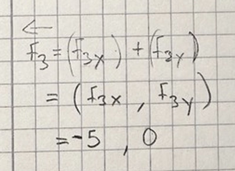
Dels så undrar jag vad det betyder att pilen ovanför F3 är riktad åt vänster här?
Vi noterar här att du skriver att F3x = -5, vilket stämmer.

Och även det här skrivsättet (blåmarkerat) är obekant för mig. Om du ska summera vektorer så ska du använda addition, dvs F1+F2+F3.

Dessutom räknar du här som om F3x = 5, inte -5 som du skrev tidigare.
Gör istället så här:
F1 = (10, 2)
F2 = (3, 6)
F3 = (-5, 0)
Fres = F1+F2+F3 = (10, 2)+(3, 6)+(-5, 0) = (10+3+(-5), 2+6+0) = (8, 8).
Rita sedan enbart ut Fres i bilden.
Till sist: Det står att sidlängden i en ruta motsvarar 1 N. Du har nu räknat som om Fres, dvs pilen som utgår från origo med pilspets i (8, 8) har längden 8. Stämmer verkligen det?
Anledningen till att jag skrev polen var åt vilken riktning kraftens pekade åt. Men det var nog fel
Ja, nu ser det mycket bättre ut!
Kommer du vidare med resten, dvs storlek och riktning på accelerationen?
Det verkar som att jag räknar fel när det kommer att räkna ut att Fr och vinkeln mellan accelerationen.
Eftesom sedan kan jag använda newtons andra lag. Fr= m•a => Fr/m=a
vinkeln beräknas med sin eller cos
Biorr skrev:Det verkar som att jag räknar fel när det kommer att räkna ut att Fr och vinkeln mellan accelerationen.
Eftesom sedan kan jag använda newtons andra lag. Fr= m•a => Fr/m=a
vinkeln beräknas med sin eller cos
Ja, du ska först beräkna längden av pilen Fr.
Det kan du göra med hjälp av Pythagoras sats, se bild.

Sedan stämmet det att accelerationen a kan beräknas genom a = Fr/m.
Sedan kan du använda sinus, cosinus eller tangens för att räkna ut vinkeln v mellan pilen och x-axeln (eller använda symmetrin).
Snyggt.
Det enda jag nu vill kommentera är dels att du bör skriva istället för = överallt där du anger närmevärden, att du bör vänta med avrundningar tills på slutet och att du bör avrunda ditt slutresultat mer.
Typ så här: m/s2 = 2,7 km/s2.
Så här har jag sammanfattat lösningsproceduren. Är det ok? 


