1
svar
133
visningar
Krafter i 3d.
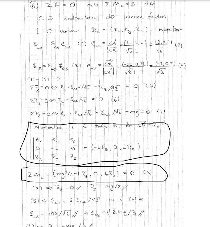
Hej! Jag har cirklat den delen av lösningen som jag inte förstår.
I o har man tre krafter, varför kallar man de alla för Ro och tar moment kring "Ro". Vad betyder det alltså?


Plugga12 skrev:I o har man tre krafter, varför kallar man de alla för Ro och tar moment kring "Ro". Vad betyder det alltså?
Kraften har tre komposanter.
Sedan kan man skriva kryssprodukt i form av en determinant.
Man räknar ut moment av denna kraft kring ledet som finns i origo. Man behöver bara räkna med två, eftersom bidraget av y-komposanten är noll.
(Lösningens notation är lite blandad, med vektorer för krafter i blackboard bold "" och "". Inte alls snyggt, tycker jag.)
