1
svar
147
visningar
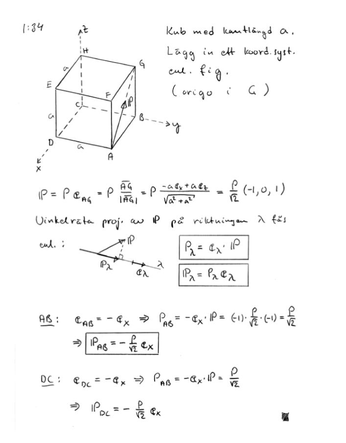
Krafter i tredimensionellt (beräkna kraftens vinkelräta projektion på olika linjerna)

Facit: 
Enligt facit har de bara bestämt krafter längs AB och DC, om ja ville bestämma kraftens proj. längs linjen EG hur gör man?
Det här är min försök:

Gjort ja rätt?
Du har inte gjort riktigt rätt.
För det första har du satt:
Men alla ska vara enhetsvektorer vilket ditt inte är.
För att den ska bli det måste du måste normalisera längden.
När du gjort det kommer du finna att: