Krafter: Uttryck för boll mot vägg
Hej allesammans,
Ponera att vi har en boll (sfär) med massan m som ligger på en planka med 45° vinkel och stoppas av en vägg. Hjälp mig skriva ett uttryck för krafterna på bollen (normalkrafterna inkluderade). Här är min illustration:
Hur skulle det följaktligen se ut om kraften på bollen var 100N?
Jag resonerade så här att tyngdkraften m*g är lika med normalkrafterna på väggen och det lutande planet. Men dom kan ju inte vara lika stor? Jag ritar en pil rakt upp som tillsammans med dom andra krafterna ska göra susen.
Vidare beräknar jag vardera komposant och voilà, det är fel (enligt min lärare).
Någon med ett bättre förslag?
Hur stora är krafterna?
Laguna skrev:Hur stora är krafterna?
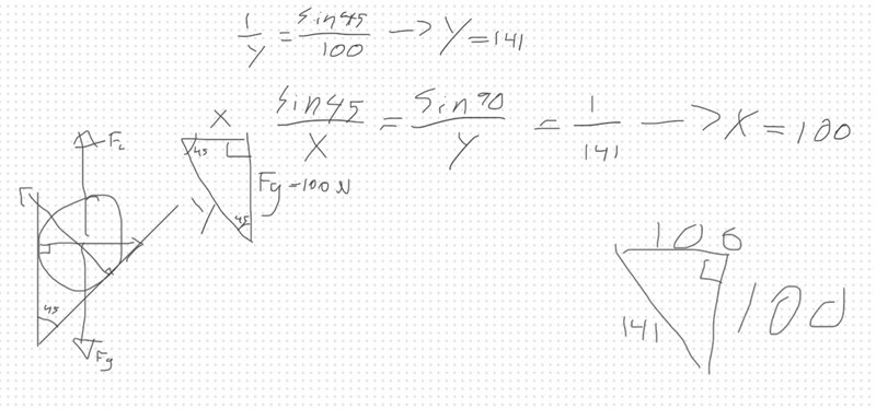
Om Fg är 100N är FL(blå) + FL(gul) = 100N
Detta ger ju enligt triangeln att sin(45)/100=sin(90)/x ==> x=100/sin(45)=117,5
1002+x2=117,52
x=61,69
Fblå är alltså 117,5 och Fgul är 61,69
Du verkar ha räknat med 45 radianer.
Ah typsikt, men i vilket fall ser jag ett tydligt error…
eftersom vinklarna för Fblå och Fgul är lika stora måste ju också sidorna vara lika stora och således krafterna densamma………. Korrekt?
Inte blå och gul, men mg och gul är lika. Blå är hypotenusan.
Say what, hur då? Förstår att blå är hypotenusan precis som i bilden men hur är mg och gul lika? Kan du möjligtvis rita hur man ska tänka?
Vad har du för värden på krafterna nu?
Jag greppar inte varför mg och gul är lika - men efter ett nytt försök får jag att krafterna är 100N och 141N. Detta känns inte rimligt eftersom två krafter tillsammans ska ge en resultant med samma kraft och riktning som mg. Men trigonometrin ger mig inget annat resultat.

Visa spoiler
I din översta färgade triangel i början är det precis så: blå plus gul ger en vektor som är precis motriktad mg.
(mg är bara ett tal, men jag menar den vektor som pekar rakt neråt och har storleken mg.)
Sååå mina beräknar är korrekt?