0
svar
112
visningar
noa9 behöver inte mer hjälp
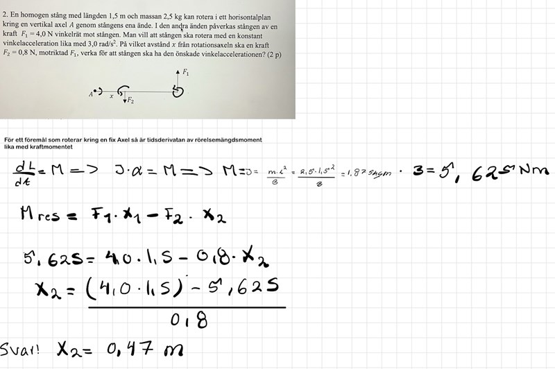
Kraftmoment
Hej jag har kommit till rätt svar, men jag undrar är kraftmomentet vid vridnings Axel alltid resultanten av de andra kraftmomenten som verkar på ett föremål?
