Kraftmoment - kryssprodukt

Jag förstår principen bakom problemet, jag är dock inte säker på vad jag ska kalla kraften, den är inte direkt skriver in vektorform (ex. F=(x,y,z)), men jag förstår att det är en typ av summa av komposanter,
jag förstår att momentarmen är ,
men jag förstår inte hur kryssprodukten beräknas, jag har gjort en del kryssprodukter i linjär algebra men jag tror att det såg annorlunda ut.
Och slutligen, om jag hade en vinkel vinkelrät mot momentarmen, skulle jag inte lika gärna beräkna F's komposant vinkelrätt P (verkningslinjen)? Bara en hypotetisk fråga :)
Vektorn är uttryckt som en linjärkombination av basvektorerna ex, ey och ez. Dessa vektorer är enhetsvektorer som är riktade längs koordinataxlarna, dvs de utgör en ON-bas.
Kryssprodukten kan du repetera här.
Notera att F:s komposant parallellt med momentarmen inte bidrar till kryssprodukten, så det går utmärkt att bara ta med den komposant som ät vinkelrät mot momentarmen när du beräknar kryssprodukten.
Tack snälla!

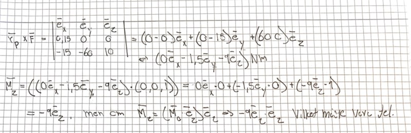
Jag har nu förstått (någorlunda) principen, men sista problemet är matematiken i slutet av min bild, det är ju en skalärprodukt men hur ska jag bära mig åt för att få matematiken att fungera?
Ignorera att det står 60 i z's enhetsvektor högst upp, slarv fel bara, ursäkta.
De har definierat Mz enligt
Mz = (M0•ez)ez.
Detta är en skalär (M0•ez) multiplicerat med en vektor (ez). En skalär multiplicerat med en vektor ger en vektor.
I din beräkning så beräknar du M0•ez men det skall bli -9 Nm och inte -9ez Nm. Felet är att du blandar två notationer.
När vi skriver att en vektor v är lika med (a, b, c) så är det en kortform för att säga att v = aex + bey + cez. Här har du skrivit ut M0 på fullständig vektorform och ez på kortform (komponentform). Då blir det lite konstigt när du gör skalärprodukten.
Du kan tex skriva båda vektorerna på komponentform och utföra skalärprodukten
M0•ez = (0, 0, -9)•(0, 0, 1) = 0 x 0 + 0 x 0 + (-9) x 1 = -9.
Tack snälla!