Kraftmoment och friktion: stege mot vägg
Hej! Hur skall jag gå tillväga här? Mitt svar blev helt fel, men vet inte riktigt hur jag skall tänkta istället.

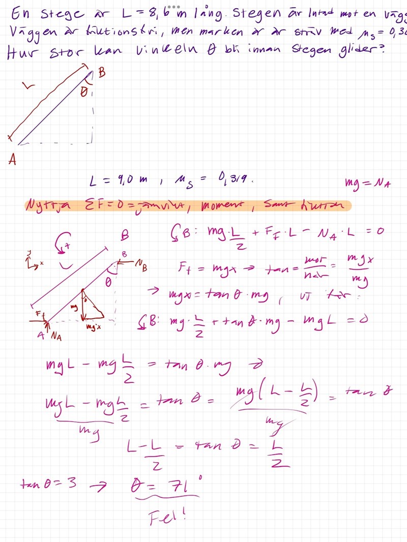
karela skrev:Hej! Hur skall jag gå tillväga här? Mitt svar blev helt fel, men vet inte riktigt hur jag skall tänkta istället.
Det jag speciellt fastnar på är bristen på information, känns som jag skall ställa upp någon form av EKG och bryta ut vinkeln, men när jag försökte göra så blev det inte bra. Fick antaga att mg = nA vilket kändes fel, även Nb = Ff känns lurt. Känns som jag saknar något.
Resultatet måste vara oberoende av L.
Det borde finnas en faktor L i varje term i momentekvationerna.
Laguna skrev:Resultatet måste vara oberoende av L.
Det borde finnas en faktor L i varje term i momentekvationerna.
Tack!, Men hur tänker du att de skall se ut isåfall? Enda indatat jag har är ju L och u. L är med i var ekvation i första momentekvationen, men ersätter ju den med friktionen för att få in vinkeln i ekvationen.
Jag skulle börja med att titta på moment runt punkten A
Ger
cos(täta)*L*NB = mg*sin(täta)*L/2* =>
ekv 1: NB = mg*tan(täta)/2
Sen titar vi på statisk jämnvikt i x-led
ekv 2: NB = mg*
som du sätter i i ekv 1 och får
tan(täta) =2