Krångligt uttryck
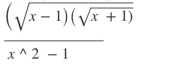
Hur kan jag påbörja uträkningen/förenklingen av det här krångliga uttrycket. Jag tänker att jag kan upphöja roten ur x+1 med 1/2 . Under rottecknet blir det (x-1)(x+1)^1/2
Hur kommer jag vidare? 

Är det helt rätt inskrivet ? Går övre linjen i rottecknen precis så långt som i uppgiften i matteboken?
eller ska det vara t.ex.
Tror att det ska vara som du skrev. För annars blir det jätte svårt att förenkla uttrycket.....
Håller med dig om det. Men har du inte uppgiften på bild i en mattebok?
Men om täljaren ska vara som jag skrev, vad kan du då göra med den? Tänk på konjugatregeln...
Det går att skriva om det på följande sätt :
()= x-1
Ja det stämmer.
Och nämnaren har du mycket riktigt faktoriserat till (x+1)(x-1).
Nu kan du gå vidare och förenkla ytterligare.
Ja det stämmer.
Du bör ange att uttrycket inte är definierat för vare sig x = 1 eller x = -1.
varför är uttrycket ej definierat då x=1?
För då är ursprungstäljaren lika med .
jaha du tittar på själva ursprungstäljaren....Och inte på det förenklade uttrycket. Det var lite klurigt
Ja, dina förenklingar gäller endast under förutsättning att .
Men vi "tappar bort" informationen att inte är tillåtet då vi förkortar med faktorn .
Så därför är det bra att ta som vana att alltid inleda med den korta analysen.
Din lösning kan till exempel se ut så här:
Förenkla
Vi ser att uttrycket inte är definierat för , eftersom nämnaren då får värdet 0.
För alla andra värden på så gäller att ...(osv)