Krets - JW
Use the node-voltage method to find the steady-state expression for vo(t) in the circuit below if
vg1 = 20*cos(2000t - 36.87°) V,
vg2 = 50*sin(2000t - 16.26°) V.

Jag kommer egentligen ingenstans.
Några frågor jag har:
1. Nu när det finns fler källor, påverkar det impedansen på något sätt eller är det skitsamma då dem är linjära?
2. Jag vill ju ha vg2 i cosinus för att enkelt skriva det på det förkortade sättet, är det rätt att helt enkelt skriva:
vg2 = 50*sin(2000t - 16.26°)=50cos(2000t-16.26-90)=50cos(2000t-106.26)? ty sin(x+90)=cos(x)
3. "den stora frågan": När jag gör Node-voltage vid v0 så antar jag att jag behöver göra om vg1 o vg2 till ett komplext tal så att jag kan få v0 = a+bi.., är det då rätt att sätta upp ekvationsystemet(se figur), eller finns det ett super obvious sätt jag missat i hasten?
Det första du borde fråga dig själv är vad som händer när vi är i steady state.
Vad är beteendet för kondensatorn och spolen?
Ja såklart.. Spolen agerar som en kortslutning och kondesatorn blir ett avbrott. Därför kan man bara räkna spänningsdelning?
Just det men tänk på att resistorn är parallell med Vg1.
En annan viktig sak att minnas för övrigt är att det flödar ingen ström genom kondensatorn men det ligger fortfarande en spänning över den.
Prova lösa uppgiften och återkom om du fastnar. :)
PS: använd nodanalys!
Som jag förstår uppgiften så är det inte fråga om "dc steadystate" utan "ac steadystate". Frekvensen på signalerna är ju 1000/pi Hz även i steady state, dvs det kommer att flyta ström genom, och finnas spänning över, alla komponenterna även i steadystate.
På rubriken och din "stora fråga" tolkar jag som att du vill använda ji-omega-metoden men inte riktigt vet var du ska börja. Stämmer det?
Du har helt rätt JohanF, jag hade helt glömt bort att det inte fungerar så när vi har en AC krets. Fick själv nyss repetera hur det var man gjorde. Tack för rättningen! :)
Det var ett tag sedan jag räknade med -metoden på ett formellt riktigt sätt som den förmodligen står i dina kursböcker, men jag kan göra ett försök. Du måste rätta mig om du tycker att det inte ser ut som i din litteratur.
1. Impedansen hos de olika elementen påverkas inte av någon av de pålagda signalerna. De olika impedanserna står i uppgiften och förblir konstanta. Du gör nodanalysen "som vanligt".
2. Att först skriva de båda spänningssignalerna med samma trigonometriska funktion låter som en bra strategi, men vad är sambandet? ()
3. Jag vet inte vilket skrivsätt du föredrar, men man kan till exempel låta en spänning representeras av den komplexa spänningen . Sedan representerar du de olika impedanserna med de komplexa impedanserna .Åsså räknar du på som vanligt... Och när du räknat klart och fått ett komplext uttryck för så ersätter du tillbaka den komplexa exponentialfunktionen med en cosinusfunktion.
Du kan ju också göra som du själv föreslog, att skriva spänningarna på formen ,och räkna med samma komplexa impedanser som ovan. Men det blir nog mindre att skriva om du representerar spänningarna med komplexa exponentialfunktioner. Skillnaden mellan de två metoderna är att man utnyttjar Eulers formel i första fallet.
Försök en stund och se om du får ut nåt vettigt av detta.
Jag sitter fast på samma uppgift. Har hittat ett lösningsförslag som jag bifogar nedan där de använder den metoden som litteraturen hänvisar till. Dock så förstår jag inte vad som sker i steget med KCL då de löser ut Vo, d.v.s delar högerledet med [0.1-0.3j].
Skrivsättet är ett tredje, men principen är densamma.
När lösningsförslaget bryter ut så utesluts några steg i beräkningen, därför ser det kanske lite mystiskt ut. Vänsterledet kan skrivas
förstår du nu hur man har brutit ut ?
JohanF skrev:Skrivsättet är ett tredje, men principen är densamma.
När lösningsförslaget bryter ut så utesluts några steg i beräkningen, därför ser det kanske lite mystiskt ut. Vänsterledet kan skrivas
förstår du nu hur man har brutit ut ?
Tack för alla svar, riktig ängel!
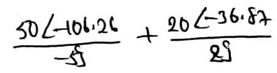
Hur är det dem förenklar högerledet dock?106*26? o -36*86?
Edit: Jaa jag ser nu att det var ett kommatecken där ja. Men då följer samma fråga som Esail ställer :`)
Som svar till JohanF:
Ja precis, jag har fått samma uttryck som det du visade i ditt senaste inlägg. Det jag inte förstår är vad som händer då man dividerar båda led med (0.1-0.3j). Dvs då man delar det som syns i bilden med (0.1-0.3j)

Har försökt förenkla fram och tillbaka men får inget vettigt resultat.
Det första talet motsvarar ungefär , det andra talet motsvarar ungefär , lägger man ihop dem får man
Notera också att det är fel i facit gällande vinkeln, den blir betydligt mindre.
Tillägg: 10 dec 2022 12:59
Rättelse: Det första talet är (9.6-j2.8)
D4NIEL skrev:Det första talet motsvarar ungefär , det andra talet motsvarar ungefär , lägger man ihop dem får man
Och detta har du tagit reda på genom samma ekvationsystem som jag skrev om ovan?
Ja, det är alltså lösningen till ekvationssystemet i lösningsförslaget:

D4NIEL skrev:Det första talet motsvarar ungefär , det andra talet motsvarar ungefär , lägger man ihop dem får man
Notera också att det är fel i facit gällande vinkeln, den blir betydligt mindre.
Tillägg: 10 dec 2022 12:59
Rättelse: Det första talet är (9.6-j2.8)
Hehe känns som att jag missat något fundamentalt.. Hur får du detta:
till att bli: (9.6−j2.8) resp. (−6−j8)?
När man använder -metoden händer det ofta att man byter mellan polär form och "vanlig" komplex notation (rektangulär form), beroende på vad som är enklast för tillfället.
Det är också viktigt att lära sig använda sin miniräknare på rätt sätt, de flesta moderna räknare kan hantera komplexa tal och översätter mellan polär- och rektangulär form automatiskt.
Själv matar jag aldrig in siffervärden förrän i slutet av en beräkning om jag inte absolut måste. Det gör att man inte behöver avrunda eller bekymra sig om konverteringar mellan olika former. Så här ser min uppställning ut för uppgiften:

Tillägg: 10 dec 2022 13:53
Edit: Och det ska naturligtvis vara (9.6-j2.8) i slutet, inget annat :)
Alright men då hänger jag med helt.
Tack så oerhört mycket för hjälpen! Nu trillade polletterna ner i hjärnkontoret.
Ha det gott!