Kretsanalys (Karlström) uppgift 4.7
Jag har svårt med att se hur denna krets resulterar i v1 = 8,33 samt v2 = -1,67. Jag har testat lösa uppgiften direkt, samt genom att definiera en supernod mellan v1 och v2, och även med flera riktningar på in/utgående strömmar. Jag kommer antingen fram stora värden på v1 och v2, eller att kretsen saknar lösning (ex. 50 = 0). Oavsett hur jag försöker lösa uppgiften så får jag inte fram samma resultat som i facit. Bifogar ett av mina lösningsförsök..
Är det någon kunnig som ser hur man bör gå tillväga för att få samma svar som i facit? Uppgifterna fokuserar på analysmetoder, mer specifikt nodanalys. Kretsen är jordad längst ner i figuren.


Kan du markera strömmen/strömmarna i schemat. Annars är det svårt att följa dina beräkningar.
Räcker det verkligen med bara en ström? Det finns ju två noder (vid V1 och V2) där strömmen kan grena upp sig.
Ska det inte vara om du vill ha strömmen genom 20-ohmaren?
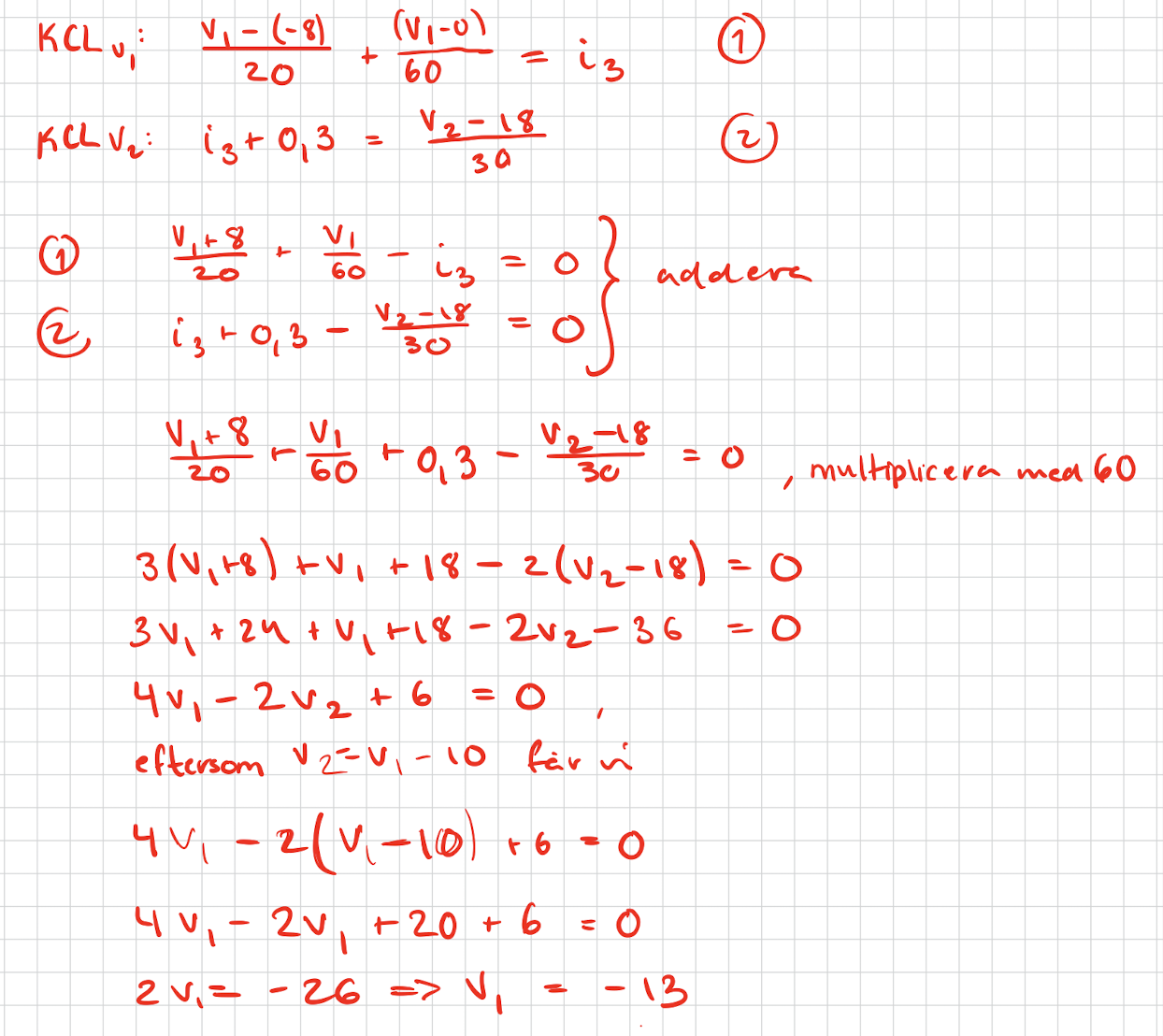
Du har nog rätt att det ska vara V1 -(-8) där. Jag gjorde en ny uträkning, men fick det till V1 = -13, vilket inte stämmer..


Teckenfel tror jag
Tack. Får då v1 = -49 vilket inte heller är rätt...
Jag får V1 till +49V
Tack Jan.
En liten synpunkt bara, V2 = V1 -10 väl?
Ja, du har helt rätt. Tack för din uppmärksamhet.
Tack!! Hur resonerar du när du ställer upp med i din ekvation? Jag förstår inte riktigt varför det inte blir i täljaren, har det möjligtvis att göra med strömmens riktning över 30-ohm resistorn?
Strömriktningarna är antagna som de röda pilarna indikerar. Summa ström in till 10 V spänningskällan är då lika med summan av strömmarna ut därifrån. Potentialen på högersidan om 30 ohms resistansen är +18 V och på vänstersidan v2, så med antagen strömriktning är den (18-v2)/30 ampere.
Jag förstår. Tack för hjälpen!
