2
svar
151
visningar
lund behöver inte mer hjälp
Kripke modeller
Jag håller på med Kripke modeller inom modal logik och vill förstå om det gäller för värld 4 och 6 att den innehåller icke-p? Det vill säga om s4 och s6 är en modell av icke-p?
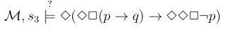
Det jag egentligen ska ta reda på är om följande gäller:
Men har gjort alla steg fram tills att jag ska avgöra om icke-p finns i värld 4 och 6.
Är det inte bara så att eftersom p finns i värld 4 så gäller inte icke-p där? Och omvänt för värld 6.
Laguna skrev:Är det inte bara så att eftersom p finns i värld 4 så gäller inte icke-p där? Och omvänt för värld 6.
Det låter korrekt, tack så mycket!