kritiska punkterna
Hej igen,
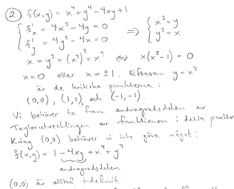
Har svårt för detta:

Jag ska avgöra om punkternas egenskaper. Det jag inte riktigt förstår, hur kan f(0,0) vara indefinit? Punkter ger Q(0,0)= -8hk och enligt denna tabell:
borde den vara negativt definit?
Andragradstermen i Taylorutvecklingen blir ju:
Om den skulle vara negativt definit skulle det gälla för alla talpar (alltså alla vektorer ) att .
Vi kan hitta talpar som som detta stämmer för, exempelvis:
Men, vi kan också hitta talpar som gör att blir noll:
samt talpar som gör att blir positivt:
Det stämmer alltså inte att för alla . Kan du se vilken av definitionerna som gäller i detta fall?
Hur definieras Q?
Smaragdalena skrev:Hur definieras Q?
är andragradstermen i Taylorutvecklingen av kring punkten som ska undersökas (här ). Eftersom andragradstermen i Taylorutvecklingen innehåller värden på andraderivatan kan denna användas för att få ut information om min- och maxpunkter.
Det finns beskrivet under "Tillämpningar" här:
Smaragdalena skrev:Hur definieras Q?
Q(x,y)=f''xx h^2 + 2f''xy hk + f''yy k^2
AlvinB skrev:Andragradstermen i Taylorutvecklingen blir ju:
Om den skulle vara negativt definit skulle det gälla för alla talpar (alltså alla vektorer ) att .
Vi kan hitta talpar som som detta stämmer för, exempelvis:
Men, vi kan också hitta talpar som gör att blir noll:
samt talpar som gör att blir positivt:
Det stämmer alltså inte att för alla . Kan du se vilken av definitionerna som gäller i detta fall?
Tack, men Q(1,1)= 12h^2 -8hk + 12 k^2 dvs positivt definit
samma uppgift återkommer:

betyder det är indefinit= sadelpunkt och positivt definit=min.punkt ?
varför har man olika namn?
Här pratar jag om det som står i ditt första inlägg (de två senaste syntes inte för mig).
Jag tror du blandar ihop med något annat.
Vad man i facit gör är att man undersöker om andragradstermen i Taylorutvecklingen kring är indefinit. Om andragradstermen är indefinit kan man direkt säga att funktionen inte har någon extrempunkt i .
Eftersom Taylorutvecklingen av ett polynom kring är polynomet självt kan vi då se att andragradstermen blir . Du ska alltså undersöka om är indefinit. För att använda din definition ovan kan man då sätta och undersöka om är indefinit.
EDIT: Angående dina två senaste inlägg:
Du får olika funktioner (jag tycker man lika gärna kan kalla och för och , men strunt samma) för olika punkter. Du ska undersöka dessa funktioner :s teckenkaraktär, och med hjälp av det dra slutsatserna:
- Om är positivt definit är punkten en minimipunkt.
- Om är negativt definit är punkten en maximipunkt.
- Om är indefinit är punkten en sadelpunkt.
Notera att teckenkaraktären (positivt definit, negativt definit och indefinit alltså) bara säger något om vilket tecken uttrycket har. Med hjälp av detta kan man sedan dra slutsatser om potentiella extrempunkter, men det betyder inte att "positivt definit" är synonymt med "minimipunkt". Det ena leder till det andra, men de är inte samma sak.
AlvinB skrev:Här pratar jag om det som står i ditt första inlägg (de två senaste syntes inte för mig).
Jag tror du blandar ihop med något annat.
Vad man i facit gör är att man undersöker om andragradstermen i Taylorutvecklingen kring är indefinit. Om andragradstermen är indefinit kan man direkt säga att funktionen inte har någon extrempunkt i .
Eftersom Taylorutvecklingen av ett polynom kring är polynomet självt kan vi då se att andragradstermen blir . Du ska alltså undersöka om är indefinit. För att använda din definition ovan kan man då sätta och undersöka om är indefinit.
EDIT: Angående dina två senaste inlägg:
Du får olika funktioner (jag tycker man lika gärna kan kalla och för och , men strunt samma) för olika punkter. Du ska undersöka dessa funktioner :s teckenkaraktär, och med hjälp av det dra slutsatserna:
- Om är positivt definit är punkten en minimipunkt.
- Om är negativt definit är punkten en maximipunkt.
- Om är indefinit är punkten en sadelpunkt.
Notera att teckenkaraktären (positivt definit, negativt definit och indefinit alltså) bara säger något om vilket tecken uttrycket har. Med hjälp av detta kan man sedan dra slutsatser om potentiella extrempunkter, men det betyder inte att "positivt definit" är synonymt med "minimipunkt". Det ena leder till det andra, men de är inte samma sak.
Tack, hur tar man reda på potentiella extrempunkter? jag trodde positivt definit = min.punkt.
Potentiella extrempunkter är ju punkter där andraderivatorna är noll, alltså stationära punkter. För att sedan utläsa vad som är max-, min- och sadelpunkter kan man använda andragradstermen i Taylorutvecklingen kring punkten som ska undersökas. Om man låter vara lika med andragradstermen får man då:
- Om är positivt definit är punkten en minimipunkt.
- Om är negativt definit är punkten en maximipunkt.
- Om är indefinit är punkten en sadelpunkt.