2
svar
125
visningar
Megalomanen behöver inte mer hjälp
Kroklinjiga koordinatsystem
Hej! Min lösning var bara att stoppa in relationen mellan x,y,z och ρ,ϕ,z direkt i F.
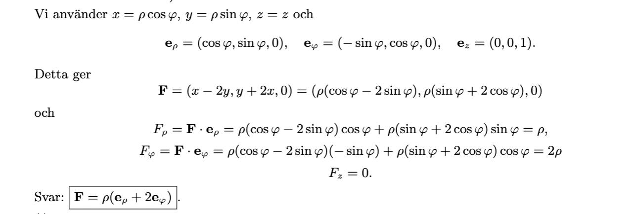
Uppgiften:

Facit:

Obs att ex e och ey e. Du måste räkna ut korrekt vad ex och ey blir uttryckta i termer av e och e. Om du gör det borde du få rätt svar.
Tillägg: 4 okt 2023 15:34
ex =
ey =
okej tack!