Kryssform och ekliptisk form
"Titta längs med C2-C3 bindningen hos pentan. Det finns två olika kryssformeroch två olika ekliptiska former. Rita dessa och markera den stabilastekonformationen samt förklara varför den är stabilast."
Varför finns det enbart två kryssformer och två ekliptiska?
.jpg?width=800&upscale=false)
Varför är tex rotation på vänstersidan helt borttagen? Är det inte möjligt att metylgruppen pekar åt vänster?
Jag tror att de menar att bara C2-C3 bindningen ska undersökas. Det blir nog för jobbigt att undersöka rotationen av metylgruppen samtidigt.
Du kan utföra rotationen längs bindningen åt vilket håll du vill. I bildens illustration är det moturs, men i och med att molekylen är symmetrisk kommer då få motsvarande clashes oavsett rotationsriktningnen. Och uppgiften rör vilken konformer som är mest stabil, och då kan du jämföra konformationerna med mer "interaktioner"/clashes som uppstår efter rotation med- eller moturs.
mag1 skrev:Du kan utföra rotationen längs bindningen åt vilket håll du vill. I bildens illustration är det moturs, men i och med att molekylen är symmetrisk kommer då få motsvarande clashes oavsett rotationsriktningnen. Och uppgiften rör vilken konformer som är mest stabil, och då kan du jämföra konformationerna med mer "interaktioner"/clashes som uppstår efter rotation med- eller moturs.
Ok, så man säger fortfarande att den enbart har två stycken konformationer vardera? Trots att det finns en till av varje som är identisk fast vänd?
Ja den har fortfarande andra konformationer. De två visade eclipsed beskriver när C4:C1 och C4:H är närmast varandra, det finns en till där C4 är nära det andra vätet på C2, men denna konformation är ekvivalent till figuren i mitten.
Staggered/eclipsed beskrivs som konformationerna som ses vid rotation längs en bindning, och fortsätter du rotera kommer de konformationer du tycker saknas att dyka upp. Men eftersom de är ekvivalenta till de första som uppstår (rotation 0-180°), så brukar man nog bortse ifrån dessa - de har ju samma energi. Är molekylen mindre symmetrisk blir det ett annat fall, och då behöver de andra unika konformationerna beaktas.
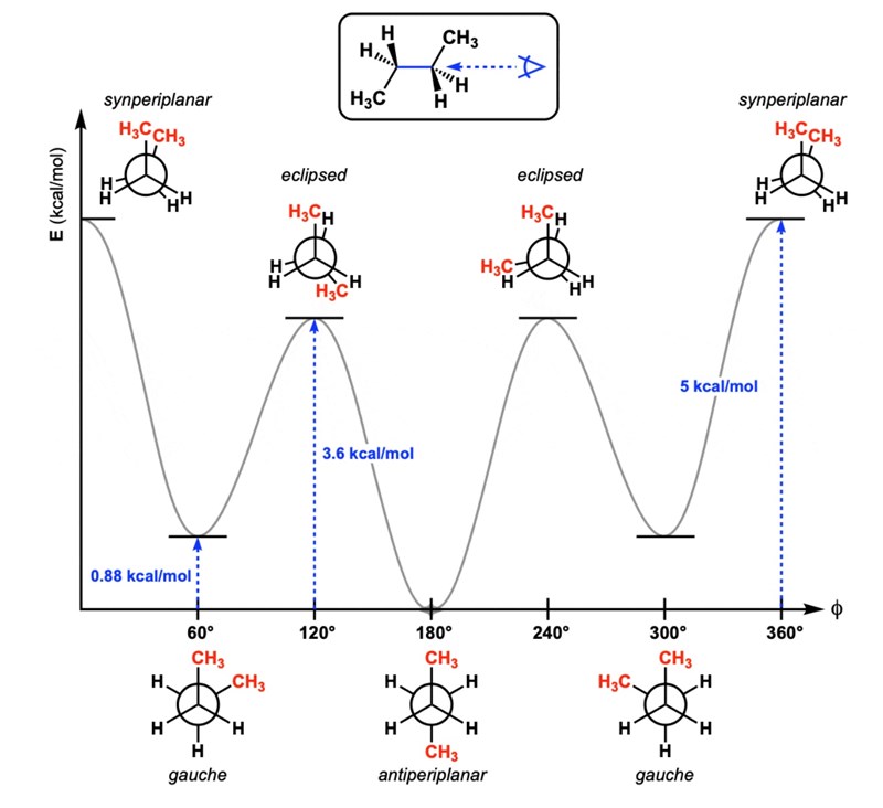
Bilden nedan illustrerar konformationens energin i förhållande till rotationsvinkeln - och där blir det nog tydligare att samtliga lokala energi minima/maxima nås redan inom en halv rotation.

mag1 skrev:Ja den har fortfarande andra konformationer. De två visade eclipsed beskriver när C4:C1 och C4:H är närmast varandra, det finns en till där C4 är nära det andra vätet på C2, men denna konformation är ekvivalent till figuren i mitten.
Staggered/eclipsed beskrivs som konformationerna som ses vid rotation längs en bindning, och fortsätter du rotera kommer de konformationer du tycker saknas att dyka upp. Men eftersom de är ekvivalenta till de första som uppstår (rotation 0-180°), så brukar man nog bortse ifrån dessa - de har ju samma energi. Är molekylen mindre symmetrisk blir det ett annat fall, och då behöver de andra unika konformationerna beaktas.
Bilden nedan illustrerar konformationens energin i förhållande till rotationsvinkeln - och där blir det nog tydligare att samtliga lokala energi minima/maxima nås redan inom en halv rotation.
Tack så mycket för den tydliga beskrivningen! Förstår nu!
För all del kul att det hjälpte!