Kryssprodukt tangentvektorer
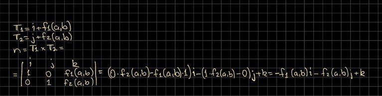
Hej, har förstått att normalvektorn n fås genom att ta kryssprodukten av tangentvektorerna. Jag verkar få motsatta tecken till vad normalvektorn för en yta egentligen ska vara. Varför blir det fel tro?

Det finns ju 2 normaler till en yta, en som sticker upp och en som sticker ner. De är lika fast med motsatta tecken.
Om du vill få andra tecknet kan du byta ordning i kryssprodukten.
Analys skrev:Om du vill få andra tecknet kan du byta ordning i kryssprodukten.
Okej så om uppgiften säger räkna ut normalen så är det inte fel
Analys skrev:Det finns ju 2 normaler till en yta, en som sticker upp och en som sticker ner. De är lika fast med motsatta tecken.
Det står i uppgiften att jag ska hitta en normalvektor. Precis som du säger så har jag hittat den andra av de två möjliga alternativen, det borde ju vara okej?
En helt annan fråga om det går bra. Tangentplanets ekvation, måste man memorera den eller går det att härleda den på något sätt?

Cien, Det är inte tillåtet att använda en tråd för flera orelaterade uppgifter. Om du vill ha hjälp med din andra uppgift får du skapa en ny tråd. /Dracaena.
Cien skrev:Analys skrev:Det finns ju 2 normaler till en yta, en som sticker upp och en som sticker ner. De är lika fast med motsatta tecken.
Det står i uppgiften att jag ska hitta en normalvektor. Precis som du säger så har jag hittat den andra av de två möjliga alternativen, det borde ju vara okej?
Det borde vara okej, liksom om du hade multiplicerat vektorn med 4 eller 37, eller normaliserat den.
Dracaena skrev:Cien, Det är inte tillåtet att använda en tråd för flera orelaterade uppgifter. Om du vill ha hjälp med din andra uppgift får du skapa en ny tråd. /Dracaena.
Okej, ber om ursäkt.